Online Database of Chemicals from Around the World

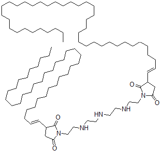
1-[2-[[2-[[2-[[2-[3-(Dotetracontenyl)-2,5-Dioxo-1-Pyrrolidinyl]Ethyl]Amino]Ethyl]Amino]Ethyl]Amino]Ethyl]-3-(Hexatriacontenyl)Pyrrolidine-2,5-Dione
[CAS 64346-93-6]

Suppliers
CAS#: 64346-93-6
Product: 1-[2-[[2-[[2-[[2-[3-(Dotetracontenyl)-2,5-Dioxo-1-Pyrrolidinyl]Ethyl]Amino]Ethyl]Amino]Ethyl]Amino]Ethyl]-3-(Hexatriacontenyl)Pyrrolidine-2,5-Dione
No suppilers available for the product.
Identification
Name 1-[2-[[2-[[2-[[2-[3-(Dotetracontenyl)-2,5-Dioxo-1-Pyrrolidinyl]Ethyl]Amino]Ethyl]Amino]Ethyl]Amino]Ethyl]-3-(Hexatriacontenyl)Pyrrolidine-2,5-Dione
Synonyms 3-[(E)-Dotetracont-1-Enyl]-1-[2-[2-[2-[2-[3-[(E)-Hexatriacont-1-Enyl]-2,5-Dioxo-Pyrrolidin-1-Yl]Ethylamino]Ethylamino]Ethylamino]Ethyl]Pyrrolidine-2,5-Dione; 3-[(E)-Dotetracont-1-Enyl]-1-[2-[2-[2-[2-[3-[(E)-Hexatriacont-1-Enyl]-2,5-Dioxo-1-Pyrrolidinyl]Ethylamino]Ethylamino]Ethylamino]Ethyl]Pyrrolidine-2,5-Dione; 3-[(E)-Dotetracont-1-Enyl]-1-[2-[2-[2-[2-[3-[(E)-Hexatriacont-1-Enyl]-2,5-Diketo-Pyrrolidin-1-Yl]Ethylamino]Ethylamino]Ethylamino]Ethyl]Pyrrolidine-2,5-Quinone
Molecular Structure CAS#: 64346-93-6, 1-[2-[[2-[[2-[[2-[3-(Dotetracontenyl)-2,5-Dioxo-1-Pyrrolidinyl]Ethyl]Amino]Ethyl]Amino]Ethyl]Amino]Ethyl]-3-(Hexatriacontenyl)Pyrrolidine-2,5-Dione
Molecular Formula C94H179N5O4
Molecular Weight 1443.48
CAS Registry Number 64346-93-6
EINECS 264-817-6
SMILES C(/C=C/C1C(N(C(C1)=O)CCNCCNCCNCCN2C(C(CC2=O)\C=C\CCCCCCCCCCCCCCCCCCCCCCCCCCCCCCCCCCCCCCCC)=O)=O)CCCCCCCCCCCCCCCCCCCCCCCCCCCCCCCCC
InChI 1S/C94H179N5O4/c1-3-5-7-9-11-13-15-17-19-21-23-25-27-29-31-33-35-37-39-40-41-42-43-44-46-48-50-52-54-56-58-60-62-64-66-68-70-72-74-76-78-90-88-92(101)99(94(90)103)86-84-97-82-80-95-79-81-96-83-85-98-91(100)87-89(93(98)102)77-75-73-71-69-67-65-63-61-59-57-55-53-51-49-47-45-38-36-34-32-30-28-26-24-22-20-18-16-14-12-10-8-6-4-2/h75-78,89-90,95-97H,3-74,79-88H2,1-2H3/b77-75+,78-76+
InChIKey WADLXYIJPAJYHH-VGWDHYGUSA-N
Market Analysis Reports
Related Products
Dosergoside;Dos...  Dosmalfate;[(2R...  Dosulepin;[(3Z)...  DOTA derivative  DOTA-GA(tBu)4;5...  DOTA-NOC;N-[2-[...  Dotarizine;1-(D...  Dotefonium Brom...  Dotetracontamet...  Dotetracontane;...  3-(Dotetraconte...  Dothiepin-d3  Dotinurad;(3,5-...  Dot1L-IN-5;3-[(...  DOTMA;1,2-Di-O-...  Dotriacolide;[(...  Dotriacontafluo...  [2,2,3,3,4,4,5,...  3,3,4,4,5,5,6,6...  3,3,4,4,5,5,6,6...