Online Database of Chemicals from Around the World

3'''-O-[3-C-Methyl-4-O-(1-Oxopropyl)-2,6-Dideoxy-alpha-L-Arabino-Hexopyranosyl]-7-Methylolivomycin D
[CAS 64967-61-9]

Suppliers
CAS#: 64967-61-9
Product: 3'''-O-[3-C-Methyl-4-O-(1-Oxopropyl)-2,6-Dideoxy-alpha-L-Arabino-Hexopyranosyl]-7-Methylolivomycin D
No suppilers available for the product.
Identification
Name 3'''-O-[3-C-Methyl-4-O-(1-Oxopropyl)-2,6-Dideoxy-alpha-L-Arabino-Hexopyranosyl]-7-Methylolivomycin D
Synonyms [6-[6-[6-[[6-[5-Acetoxy-4-(4-Hydroxy-5-Methoxy-6-Methyl-Tetrahydropyran-2-Yl)Oxy-6-Methyl-Tetrahydropyran-2-Yl]Oxy-3-(3,4-Dihydroxy-1-Methoxy-2-Oxo-Pentyl)-8,9-Dihydroxy-7-Methyl-1-Oxo-3,4-Dihydro-2H-Anthracen-2-Yl]Oxy]-3-Hydroxy-2-Methyl-Tetrahydropyran-4-Yl]Oxy-3-Hydroxy-2-Methyl-Tetrahydropyran-4-Yl]Oxy-4-Hydroxy-2,4-Dimethyl-Tetrahydropyran-3-Yl] Propanoate; Propanoic Acid [6-[[6-[[6-[[6-[[5-Acetoxy-4-[(4-Hydroxy-5-Methoxy-6-Methyl-2-Tetrahydropyranyl)Oxy]-6-Methyl-2-Tetrahydropyranyl]Oxy]-3-(3,4-Dihydroxy-1-Methoxy-2-Oxopentyl)-8,9-Dihydroxy-7-Methyl-1-Oxo-3,4-Dihydro-2H-Anthracen-2-Yl]Oxy]-3-Hydroxy-2-Methyl-4-Tetrahydropyranyl]Oxy]-3-Hydroxy-2-Methyl-4-Tetrahydropyranyl]Oxy]-4-Hydroxy-2,4-Dimethyl-3-Tetrahydropyranyl] Ester; Propionic Acid [6-[6-[6-[[6-[5-Acetoxy-4-(4-Hydroxy-5-Methoxy-6-Methyl-Tetrahydropyran-2-Yl)Oxy-6-Methyl-Tetrahydropyran-2-Yl]Oxy-3-(3,4-Dihydroxy-2-Keto-1-Methoxy-Pentyl)-8,9-Dihydroxy-1-Keto-7-Methyl-3,4-Dihydro-2H-Anthracen-2-Yl]Oxy]-3-Hydroxy-2-Methyl-Tetrahydropyran-4-Yl]Oxy-3-Hydroxy-2-Methyl-Tetrahydropyran-4-Yl]Oxy-4-Hydroxy-2,4-Dimethyl-Tetrahydropyran-3-Yl] Ester
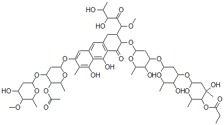
Molecular Structure CAS#: 64967-61-9, 3'''-O-[3-C-Methyl-4-O-(1-Oxopropyl)-2,6-Dideoxy-alpha-L-Arabino-Hexopyranosyl]-7-Methylolivomycin D
Molecular Formula C58H84O26
Molecular Weight 1197.29
CAS Registry Number 64967-61-9
SMILES C1=C6C(=C(O)C5=C1CC(C(OC4OC(C(O)C(OC3OC(C(O)C(OC2OC(C(OC(=O)CC)C(O)(C2)C)C)C3)C)C4)C)C5=O)C(OC)C(=O)C(O)C(O)C)C(=C(C(=C6)OC8OC(C(OC(=O)C)C(OC7OC(C(OC)C(O)C7)C)C8)C)C)O
InChI 1S/C58H84O26/c1-13-38(62)83-57-28(8)77-43(21-58(57,10)70)81-36-18-40(73-24(4)49(36)66)80-35-19-42(74-25(5)48(35)65)84-56-32(55(72-12)52(69)47(64)23(3)59)15-30-14-31-16-34(22(2)46(63)44(31)50(67)45(30)51(56)68)79-41-20-37(54(27(7)76-41)78-29(9)60)82-39-17-33(61)53(71-11)26(6)75-39/h14,16,23-28,32-33,35-37,39-43,47-49,53-57,59,61,63-67,70H,13,15,17-21H2,1-12H3
InChIKey BDOITUPYCCZVMN-UHFFFAOYSA-N
Properties
Density 1.42g/cm3 (Cal.)
Boiling point 1152.293°C at 760 mmHg (Cal.)
Flash point 310.775°C (Cal.)
Market Analysis Reports
Related Products
1-(2-Methyl-1-O...  Methyl 2-(3-Oxo...  Methyl 4-(3-Oxo...  N-[1-Methyl-1-(...  (S)-(1-Methyl-2...  2-[(8-Methyl-2-...  Methyl 3-Oxo-2-...  (2S,3S)-2-Methy...  (2S)-2-Methyl-2...  (4R)-3-Methyl-4...  Methyl 2-(2-Oxo...  2-Methyl-4-Oxo-...  N-Methyl-N-(2-o...  N-(2-methyl-1-o...  N-(1-Methyl-2-O...  (3E)-4-Methyl-3...  (3Z)-1-Methyl-3...  (5E)-4-Methyl-5...  Methyl (E)-N-(2...  (2Z)-4-Methyl-2...