Online Database of Chemicals from Around the World

Human chorionic gonadotropin, beta-subunit (123-145)
[CAS 66053-67-6]

Suppliers
CAS#: 66053-67-6
Product: Human chorionic gonadotropin, beta-subunit (123-145)
No suppilers available for the product.
Identification
Name Human chorionic gonadotropin, beta-subunit (123-145)
Synonyms Human Chorionic Gonadotropin, Beta-Subunit (123-145); L-Glutamine, L-Alanyl-L-Prolyl-L-Prolyl-L-Prolyl-L-Seryl-L-Leucyl-L-Prolyl-L-Seryl-L-Prolyl-L-Seryl-L-Arginyl-L-Leucyl-L-Prolylglycyl-L-Prolyl-L-Seryl-L-Alpha-Aspartyl-L-Threonyl-L-Prolyl-L-Isoleucyl-L-Leucyl-L-Prolyl-; Beta-Subunit Hcg (123-145)
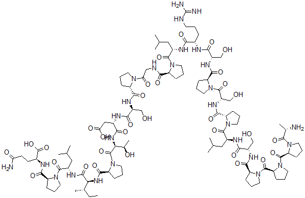
Molecular Structure CAS#: 66053-67-6, Human chorionic gonadotropin, beta-subunit (123-145)
Molecular Formula C105H169N27O32
Molecular Weight 2321.65
CAS Registry Number 66053-67-6
SMILES [C@H](C(N2[C@H](C(N[C@H](C(N[C@H](C(N1[C@H](C(N[C@H](C(=O)O)CCC(=O)N)=O)CCC1)=O)CC(C)C)=O)[C@H](CC)C)=O)CCC2)=O)(NC([C@@H](NC([C@@H](NC([C@H]9N(C(CNC([C@H]8N(C([C@@H](NC([C@@H](NC([C@@H](NC([C@H]7N(C([C@@H](NC([C@H]6N(C([C@@H](NC([C@@H](NC([C@H]5N(C([C@H]4N(C([C@H]3N(C(=O)[C@@H](N)C)CCC3)=O)CCC4)=O)CCC5)=O)CO)=O)CC(C)C)=O)CCC6)=O)CO)=O)CCC7)=O)CO)=O)CCCNC(=N)N)=O)CC(C)C)=O)CCC8)=O)=O)CCC9)=O)CO)=O)CC(=O)O)=O)[C@H](O)C
InChI 1S/C105H169N27O32/c1-11-56(8)81(95(154)117-64(46-55(6)7)99(158)126-37-15-25-71(126)90(149)113-60(104(163)164)32-33-78(107)138)122-94(153)75-29-19-41-130(75)103(162)82(58(10)137)123-84(143)61(47-80(140)141)114-86(145)66(50-134)118-89(148)70-24-13-35-124(70)79(139)48-111-88(147)69-23-14-36-125(69)97(156)62(44-53(2)3)115-83(142)59(22-12-34-110-105(108)109)112-85(144)65(49-133)119-91(150)72-26-17-39-128(72)100(159)68(52-136)121-93(152)73-27-16-38-127(73)98(157)63(45-54(4)5)116-87(146)67(51-135)120-92(151)74-28-18-40-129(74)101(160)77-31-21-43-132(77)102(161)76-30-20-42-131(76)96(155)57(9)106/h53-77,81-82,133-137H,11-52,106H2,1-10H3,(H2,107,138)(H,111,147)(H,112,144)(H,113,149)(H,114,145)(H,115,142)(H,116,146)(H,117,154)(H,118,148)(H,119,150)(H,120,151)(H,121,152)(H,122,153)(H,123,143)(H,140,141)(H,163,164)(H4,108,109,110)/t56-,57-,58+,59-,60-,61-,62-,63-,64-,65-,66-,67-,68-,69-,70-,71-,72-,73-,74-,75-,76-,77-,81-,82-/m0/s1
InChIKey UQHLFCUMFKQWEV-QBBOMDFKSA-N
Market Analysis Reports
Related Products
Huangjiangsu A;...  Hugorosenone;3b...  Human amylin 8-...  Human beta-amyl...  Human b-amyloid...  Human angiotens...  Human big endot...  Human calcitoni...  Human calcitoni...  Human calcitoni...  DNA (Human Clon...  Human M-CSF  Human endotheli...  Human Gastrin I...  Human glicentin...  Human GLP-1 (7-...  Human growth ho...  Human growth ho...  (1-34)-Humanhum...  Human Inhibin A