Online Database of Chemicals from Around the World

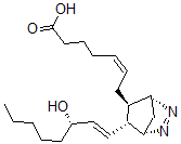
7-(6-(3-Hydroxy-1-octenyl)-2,3-diazabicyclo(2.2.1)hept-2-en-5-yl)-5-Heptenoic acid
[CAS 67901-99-9]

Suppliers
CAS#: 67901-99-9
Product: 7-(6-(3-Hydroxy-1-octenyl)-2,3-diazabicyclo(2.2.1)hept-2-en-5-yl)-5-Heptenoic acid
No suppilers available for the product.
Identification
Name 7-(6-(3-Hydroxy-1-octenyl)-2,3-diazabicyclo(2.2.1)hept-2-en-5-yl)-5-Heptenoic acid
Synonyms (15S)-Hydroxy-9Alpha,11Alpha-Azoprosta-5Z,13E-Dienoic Acid; (5Z,9Alpha,11Alpha,13E,15S)-9,11-Azo-15-Hydroxyprosta-5,13-Dienoic Acid; 15-Hydroxy-9,11-Azoprostanoid
Molecular Structure CAS#: 67901-99-9, 7-(6-(3-Hydroxy-1-octenyl)-2,3-diazabicyclo(2.2.1)hept-2-en-5-yl)-5-Heptenoic acid
Molecular Formula C20H32N2O3
Molecular Weight 348.48
CAS Registry Number 67901-99-9
SMILES [C@@H]12N=N[C@@H]([C@@H]([C@H]1\C=C\[C@@H](O)CCCCC)C\C=C/CCCC(=O)O)C2
InChI 1S/C20H32N2O3/c1-2-3-6-9-15(23)12-13-17-16(18-14-19(17)22-21-18)10-7-4-5-8-11-20(24)25/h4,7,12-13,15-19,23H,2-3,5-6,8-11,14H2,1H3,(H,24,25)/b7-4-,13-12+/t15-,16+,17+,18+,19-/m0/s1
InChIKey XBVVXCYNLAIXKD-WTKFZEAQSA-N
Properties
Density 1.17g/cm3 (Cal.)
Boiling point 505.122°C at 760 mmHg (Cal.)
Flash point 259.289°C (Cal.)
Market Analysis Reports
Related Products
8-Hydroxy-2,4,6...  4-Hydroxy-2-Oct...  trans-4-Hydroxy...  3-Hydroxyoct-7-...  (E)-3-Hydroxyoc...  (3E)-8-Hydroxy-...  (5S,6Z)-5-Hydro...  (3Z)-4-Hydroxy-...  3-Hydroxy-7-Oct...  (Z)-7-[(2R,3S)-...  (5E)-7-{3-[(1E)...  7-{(1R,4S,5S,6R...  7-[3-(3-Hydroxy...  (5Z)-5-[(3aR,4R...  (E)-7-[5-[(E)-3...  (5E,8E)-10-{3-[...  (5E,8E)-10-Hydr...  (Z)-7-[(1S,2R,5...  7-[(1R)-2-[(E,3...  (Z)-7-[(1R,2S,3...