Identification
| Name |
Bis(10-Undecenoic Acid)Iminobisethylene Ester |
| Synonyms |
Undec-10-Enoic Acid 2-[2-(1-Oxoundec-10-Enoxy)Ethylamino]Ethyl Ester; Undec-10-Enoic Acid 2-(2-Undec-10-Enoyloxyethylamino)Ethyl Ester; 10-Undecenoic Acid, Iminodi-2,1-Ethanediyl Ester |
|
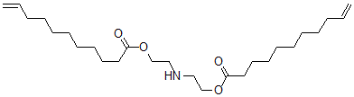
| Molecular Structure |
 |
| Molecular Formula |
C26H47NO4 |
| Molecular Weight |
437.66 |
| CAS Registry Number |
68052-39-1 |
| SMILES |
C(OC(=O)CCCCCCCCC=C)CNCCOC(=O)CCCCCCCCC=C |
| InChI |
1S/C26H47NO4/c1-3-5-7-9-11-13-15-17-19-25(28)30-23-21-27-22-24-31-26(29)20-18-16-14-12-10-8-6-4-2/h3-4,27H,1-2,5-24H2 |
| InChIKey |
ASODXZIYBJJXPI-UHFFFAOYSA-N |
|