Online Database of Chemicals from Around the World

4-cis-Decenoyl-Coenzyme A
[CAS 69281-30-7]

Suppliers
CAS#: 69281-30-7
Product: 4-cis-Decenoyl-Coenzyme A
No suppilers available for the product.
Identification
Name 4-cis-Decenoyl-Coenzyme A
Synonyms S-[2-[3-[[(2R)-4-[[[(2R,3S,4R,5R)-5-(6-Aminopurin-9-Yl)-4-Hydroxy-3-Phosphonooxy-Tetrahydrofuran-2-Yl]Methoxy-Hydroxy-Phosphoryl]Oxy-Hydroxy-Phosphoryl]Oxy-2-Hydroxy-3,3-Dimethyl-Butanoyl]Amino]Propanoylamino]Ethyl] (E)-Dec-4-Enethioate; (E)-Dec-4-Enethioic Acid S-[2-[[3-[[(2R)-4-[[[(2R,3S,4R,5R)-5-(6-Amino-9-Purinyl)-4-Hydroxy-3-Phosphonooxy-2-Tetrahydrofuranyl]Methoxy-Hydroxyphosphoryl]Oxy-Hydroxyphosphoryl]Oxy-2-Hydroxy-3,3-Dimethyl-1-Oxobutyl]Amino]-1-Oxopropyl]Amino]Ethyl] Ester; (E)-Dec-4-Enethioic Acid S-[2-[3-[[(2R)-4-[[[(2R,3S,4R,5R)-5-(6-Aminopurin-9-Yl)-4-Hydroxy-3-Phosphonooxy-Tetrahydrofuran-2-Yl]Methoxy-Hydroxy-Phosphoryl]Oxy-Hydroxy-Phosphoryl]Oxy-2-Hydroxy-3,3-Dimethyl-Butanoyl]Amino]Propanoylamino]Ethyl] Ester
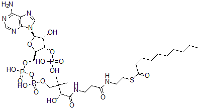
Molecular Structure CAS#: 69281-30-7, 4-cis-Decenoyl-Coenzyme A
Molecular Formula C31H52N7O17P3S
Molecular Weight 919.77
CAS Registry Number 69281-30-7
SMILES [C@H]1(O[C@@H]([C@@H](O[P](=O)(O)O)[C@H]1O)CO[P](O[P](OCC([C@@H](O)C(=O)NCCC(=O)NCCSC(=O)CC\C=C\CCCCC)(C)C)(=O)O)(=O)O)[N]2C3=C(N=C2)C(=NC=N3)N
InChI 1S/C31H52N7O17P3S/c1-4-5-6-7-8-9-10-11-22(40)59-15-14-33-21(39)12-13-34-29(43)26(42)31(2,3)17-52-58(49,50)55-57(47,48)51-16-20-25(54-56(44,45)46)24(41)30(53-20)38-19-37-23-27(32)35-18-36-28(23)38/h8-9,18-20,24-26,30,41-42H,4-7,10-17H2,1-3H3,(H,33,39)(H,34,43)(H,47,48)(H,49,50)(H2,32,35,36)(H2,44,45,46)/b9-8+/t20-,24-,25-,26+,30-/m1/s1
InChIKey QTOYQSMKQWCWOX-CCVVLBLYSA-N
Properties
Density 1.662g/cm3 (Cal.)
Market Analysis Reports
Related Products
4-Decen-1-ol  (7Z)-7-Decen-1-...  (E)-5-Decen-1-o...  (Z)-5-Decen-1-o...  (3Z)-3-Decen-1-...  9-Decen-1-Ol 1-...  3-Decen-2-One;D...  Dec-9-En-2-One;...  Dec-7-En-2-One  [(2S)-2-Dec-9-E...  (2E)-2-Decen-1-...  cis-4-Decenyl a...  9-Decenyl Benzo...  2-[(E)-Dec-1-En...  (Z)-Dec-1-Enyld...  2-Dec-9-Enyl-5-...  2-Dec-9-Enyl-5-...  2-[(1E)-1-Decen...  2-Decen-1-Ylsuc...  n-1-Decenylsucc...