Online Database of Chemicals from Around the World

1,6-Dichloro-1,6-Dideoxyfructose
[CAS 69414-08-0]

Suppliers
CAS#: 69414-08-0
Product: 1,6-Dichloro-1,6-Dideoxyfructose
No suppilers available for the product.
Identification
Name 1,6-Dichloro-1,6-Dideoxyfructose
Synonyms (3S,4S,5S)-1,6-Dichloro-3,4,5-Trihydroxy-Hexan-2-One; 1,6-Dichloro-1,6-Dideoxyfructose; 1,6-Dideoxy-1,6-Dichlorofructose
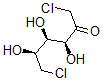
Molecular Structure CAS#: 69414-08-0, 1,6-Dichloro-1,6-Dideoxyfructose
Molecular Formula C6H10Cl2O4
Molecular Weight 217.05
CAS Registry Number 69414-08-0
SMILES [C@@H](C(CCl)=O)([C@@H]([C@@H](CCl)O)O)O
InChI 1S/C6H10Cl2O4/c7-1-3(9)5(11)6(12)4(10)2-8/h3,5-6,9,11-12H,1-2H2/t3-,5-,6-/m1/s1
InChIKey MLQSSVPAOPJIFW-UYFOZJQFSA-N
Market Analysis Reports
Related Products
3-{2,6-Dichloro...  3,5-Dichloro-2-...  2,4-Dichloro-N-...  Dichloro[(Dichl...  2,5-Dichloro-4-...  2,3-Dichloro-5,...  5,6-Dichloro-2,...  2,4-Dichloro-1,...  Dichloro(dicycl...  5,6-Dichloro-5,...  Dichlorodidodec...  2,5-Dichloro-3,...  2,2-Dichloro-1,...  1,3-Dichloro-2-...  1,3-Dichloro-5-...  2,4-Dichloro-1-...  1,2-Dichloro-4-...  2,2-Dichloro-N,...  alpha,alpha-Dic...  4-(2,2'-Dichlor...