Online Database of Chemicals from Around the World

Trimethyl{[(1E)-4-methyl-1-(tributylstannyl)-1-octen-4-yl]oxy}silane
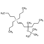
[CAS 69442-81-5]

Suppliers
Achemica Switzerland
+41 (24) 466-2929
contact@achemica.com
Chemical manufacturer since 2010
Identification
Name Trimethyl{[(1E)-4-methyl-1-(tributylstannyl)-1-octen-4-yl]oxy}silane
Molecular Structure CAS#: 69442-81-5, Trimethyl{[(1E)-4-methyl-1-(tributylstannyl)-1-octen-4-yl]oxy}silane
Molecular Formula C24H52OSiSn
Molecular Weight 503.46
CAS Registry Number 69442-81-5
SMILES CCCC[Sn](CCCC)(\C=C\CC(C)(CCCC)O[Si](C)(C)C)CCCC
InChI 1S/C12H25OSi.3C4H9.Sn/c1-7-9-11-12(3,10-8-2)13-14(4,5)6;3*1-3-4-2;/h2,8H,7,9-11H2,1,3-6H3;3*1,3-4H2,2H3;
InChIKey QPDPSYPQQVBCLH-UHFFFAOYSA-N
Properties
Boiling point 459.451°C at 760 mmHg (Cal.)
Flash point 231.668°C (Cal.)
Market Analysis Reports
Related Products
Trimethyl[(5-me...  Trimethyl(5-Met...  N,N,beta-Trimet...  Trimethyl[4-(Me...  Trimethyl(Methy...  1,3,3-Trimethyl...  1,3,3-Trimethyl...  1,3,3-Trimethyl...  1,3,3-Trimethyl...  1,3,3-Trimethyl...  1,3,3-Trimethyl...  1,3,4-Trimethyl...  1,3,5-Trimethyl...  alpha,alpha,4-T...  1,5,15-Tri-O-me...  (5S)-3,3,5-Trim...  3,3,5-Trimethyl...  2,2,4-Trimethyl...  (5S,6S)-2,4,5-T...  alpha,2,6-Trime...