Online Database of Chemicals from Around the World

Phosphoric acid (hydroxy-isopentyloxyphosphoryl) diisopentyl ester
[CAS 70714-98-6]

Suppliers
CAS#: 70714-98-6
Product: Phosphoric acid (hydroxy-isopentyloxyphosphoryl) diisopentyl ester
No suppilers available for the product.
Identification
Name Phosphoric acid (hydroxy-isopentyloxyphosphoryl) diisopentyl ester
Synonyms (Hydroxy-Isopentyloxy-Phosphoryl) Diisopentyl Phosphate; Phosphoric Acid (Hydroxy-Isopentyloxyphosphoryl) Diisopentyl Ester; Phosphoric Acid (Hydroxy-Isoamoxy-Phosphoryl) Diisoamyl Ester
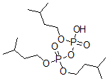
Molecular Structure CAS#: 70714-98-6, Phosphoric acid (hydroxy-isopentyloxyphosphoryl) diisopentyl ester
Molecular Formula C15H34O7P2
Molecular Weight 388.38
CAS Registry Number 70714-98-6
SMILES C(O[P](O[P](=O)(O)OCCC(C)C)(=O)OCCC(C)C)CC(C)C
InChI 1S/C15H34O7P2/c1-13(2)7-10-19-23(16,17)22-24(18,20-11-8-14(3)4)21-12-9-15(5)6/h13-15H,7-12H2,1-6H3,(H,16,17)
InChIKey JEAXWMPPPGJBFX-UHFFFAOYSA-N
Properties
Density 1.114g/cm3 (Cal.)
Boiling point 428.279°C at 760 mmHg (Cal.)
Flash point 212.816°C (Cal.)
Market Analysis Reports
Related Products
Phosphoric Acid...  Phosphoric Acid...  Phosphoric Acid...  Phosphoric Acid...  Phosphoric Acid...  Phosphoric Acid...  Phosphoric Acid...  Phosphoric Acid...  Phosphoric Acid...  Phosphoricacid,...  Phosphoric acid...  Phosphoric Acid...  Phosphoric Acid...  Phosphoric acid...  Phosphoric Acid...  Phosphoric Acid...  Phosphoric Acid...  Phosphoric Acid...  Phosphoric Acid...  Phosphoric acid...