|
CAS#: 70715-01-4 Product: Diphosphoric acid trioctyl ester No suppilers available for the product. |
| Name | Diphosphoric acid trioctyl ester |
|---|---|
| Synonyms | (Hydroxy-Octoxy-Phosphoryl) Dioctyl Phosphate; Phosphoric Acid (Hydroxy-Octoxyphosphoryl) Dioctyl Ester; Phosphoric Acid (Hydroxy-Octoxy-Phosphoryl) Dioctyl Ester |
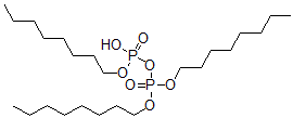
| Molecular Structure | ![]() |
| Molecular Formula | C24H52O7P2 |
| Molecular Weight | 514.62 |
| CAS Registry Number | 70715-01-4 |
| SMILES | C(O[P](O[P](=O)(O)OCCCCCCCC)(=O)OCCCCCCCC)CCCCCCC |
| InChI | 1S/C24H52O7P2/c1-4-7-10-13-16-19-22-28-32(25,26)31-33(27,29-23-20-17-14-11-8-5-2)30-24-21-18-15-12-9-6-3/h4-24H2,1-3H3,(H,25,26) |
| InChIKey | FCVRUTBPPSPDNI-UHFFFAOYSA-N |
| Density | 1.038g/cm3 (Cal.) |
|---|---|
| Boiling point | 552.466°C at 760 mmHg (Cal.) |
| Flash point | 287.921°C (Cal.) |
| Market Analysis Reports |