|
CAS#: 72205-57-3 Product: Methoxycarbonyl-Coenzyme A Disulfide No suppilers available for the product. |
| Name | Methoxycarbonyl-Coenzyme A Disulfide |
|---|---|
| Synonyms | Methyl 2-[3-[[4-[[[5-(6-Aminopurin-9-Yl)-4-Hydroxy-3-Phosphonooxy-Tetrahydrofuran-2-Yl]Methoxy-Hydroxy-Phosphoryl]Oxy-Hydroxy-Phosphoryl]Oxy-2-Hydroxy-3,3-Dimethyl-Butanoyl]Amino]Propanoylamino]Ethyldisulfanylformate; 2-[[3-[[4-[[[5-(6-Amino-9-Purinyl)-4-Hydroxy-3-Phosphonooxy-2-Tetrahydrofuranyl]Methoxy-Hydroxyphosphoryl]Oxy-Hydroxyphosphoryl]Oxy-2-Hydroxy-3,3-Dimethyl-1-Oxobutyl]Amino]-1-Oxopropyl]Amino]Ethyldisulfanylformic Acid Methyl Ester; 2-[3-[[4-[[[5-(6-Aminopurin-9-Yl)-4-Hydroxy-3-Phosphonooxy-Tetrahydrofuran-2-Yl]Methoxy-Hydroxy-Phosphoryl]Oxy-Hydroxy-Phosphoryl]Oxy-2-Hydroxy-3,3-Dimethyl-Butanoyl]Amino]Propanoylamino]Ethyldisulfanylformic Acid Methyl Ester |
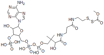
| Molecular Structure | ![]() |
| Molecular Formula | C23H38N7O18P3S2 |
| Molecular Weight | 857.63 |
| CAS Registry Number | 72205-57-3 |
| SMILES | C1=NC2=C(C(=N1)N)N=C[N]2C3C(O)C(O[P](O)(O)=O)C(O3)CO[P](O[P](OCC(C)(C)C(C(NCCC(NCCSSC(OC)=O)=O)=O)O)(=O)O)(=O)O |
| InChI | 1S/C23H38N7O18P3S2/c1-23(2,17(33)20(34)26-5-4-13(31)25-6-7-52-53-22(35)43-3)9-45-51(41,42)48-50(39,40)44-8-12-16(47-49(36,37)38)15(32)21(46-12)30-11-29-14-18(24)27-10-28-19(14)30/h10-12,15-17,21,32-33H,4-9H2,1-3H3,(H,25,31)(H,26,34)(H,39,40)(H,41,42)(H2,24,27,28)(H2,36,37,38) |
| InChIKey | MGXAHWZPOYQYBM-UHFFFAOYSA-N |
| Density | 1.922g/cm3 (Cal.) |
|---|---|
| Market Analysis Reports |