Online Database of Chemicals from Around the World

4-Amino-N-[5-Amino-2-[4-Amino-3,5-Dihydroxy-6-(Hydroxymethyl)Oxan-2-Yl]Oxy-4-[6-(Aminomethyl)-3-Hydroxyoxan-2-Yl]Oxy-3-Hydroxycyclohexyl]-2-Hydroxybutanamide
[CAS 72908-95-3]

Suppliers
CAS#: 72908-95-3
Product: 4-Amino-N-[5-Amino-2-[4-Amino-3,5-Dihydroxy-6-(Hydroxymethyl)Oxan-2-Yl]Oxy-4-[6-(Aminomethyl)-3-Hydroxyoxan-2-Yl]Oxy-3-Hydroxycyclohexyl]-2-Hydroxybutanamide
No suppilers available for the product.
Identification
Name 4-Amino-N-[5-Amino-2-[4-Amino-3,5-Dihydroxy-6-(Hydroxymethyl)Oxan-2-Yl]Oxy-4-[6-(Aminomethyl)-3-Hydroxyoxan-2-Yl]Oxy-3-Hydroxycyclohexyl]-2-Hydroxybutanamide
Synonyms 4-Amino-N-[5-Amino-2-[4-Amino-3,5-Dihydroxy-6-(Hydroxymethyl)Tetrahydropyran-2-Yl]Oxy-4-[6-(Aminomethyl)-3-Hydroxy-Tetrahydropyran-2-Yl]Oxy-3-Hydroxy-Cyclohexyl]-2-Hydroxy-Butanamide; 4-Amino-N-[5-Amino-2-[[4-Amino-3,5-Dihydroxy-6-(Hydroxymethyl)-2-Tetrahydropyranyl]Oxy]-4-[[6-(Aminomethyl)-3-Hydroxy-2-Tetrahydropyranyl]Oxy]-3-Hydroxycyclohexyl]-2-Hydroxybutanamide; 4-Amino-N-[5-Amino-2-(4-Amino-3,5-Dihydroxy-6-Methylol-Tetrahydropyran-2-Yl)Oxy-4-[6-(Aminomethyl)-3-Hydroxy-Tetrahydropyran-2-Yl]Oxy-3-Hydroxy-Cyclohexyl]-2-Hydroxy-Butyramide
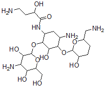
Molecular Structure CAS#: 72908-95-3, 4-Amino-N-[5-Amino-2-[4-Amino-3,5-Dihydroxy-6-(Hydroxymethyl)Oxan-2-Yl]Oxy-4-[6-(Aminomethyl)-3-Hydroxyoxan-2-Yl]Oxy-3-Hydroxycyclohexyl]-2-Hydroxybutanamide
Molecular Formula C22H43N5O11
Molecular Weight 553.61
CAS Registry Number 72908-95-3
SMILES C(C3C(C(C(C(OC1C(CC(C(C1O)OC2OC(CCC2O)CN)N)NC(C(CCN)O)=O)O3)O)N)O)O
InChI 1S/C22H43N5O11/c23-4-3-11(29)20(34)27-10-5-9(25)18(37-21-12(30)2-1-8(6-24)35-21)17(33)19(10)38-22-16(32)14(26)15(31)13(7-28)36-22/h8-19,21-22,28-33H,1-7,23-26H2,(H,27,34)
InChIKey DJLZCFKPWYTEIQ-UHFFFAOYSA-N
Properties
Density 1.503g/cm3 (Cal.)
Boiling point 923.79°C at 760 mmHg (Cal.)
Flash point 512.49°C (Cal.)
Market Analysis Reports
Related Products
2-Amino-N-[4-Am...  2-Amino-N-[4-Am...  4-Amino-N-[5-Am...  5-Amino-6-[4-Am...  (2S)-4-Amino-N-...  (2S)-2-[[(2S)-2...  (9R,12R,15R,18R...  (2S)-2-Amino-N-...  (2R)-2-[[(2S)-2...  3-[[3-Amino-6-[...  4-amino-1-[5-am...  2-Amino-N-[4-Am...  (2S)-2-Amino-5-...  N-[4-Amino-3-[3...  N-[4-Amino-3-[3...  N-[4-Amino-3-[3...  (2S)-2-[[(2S)-2...  (2S)-2-[[(3R)-2...  2-Amino-6-[7-Am...  2-Amino-6-[7-Am...