Online Database of Chemicals from Around the World

({3-Chloro-4-[(2-cyano-4-nitrophenyl)diazenyl]phenyl}imino)di-2,1-ethanediyl diethyl biscarbonate
[CAS 73384-66-4]

Suppliers
CAS#: 73384-66-4
Product: ({3-Chloro-4-[(2-cyano-4-nitrophenyl)diazenyl]phenyl}imino)di-2,1-ethanediyl diethyl biscarbonate
No suppilers available for the product.
Identification
Name ({3-Chloro-4-[(2-cyano-4-nitrophenyl)diazenyl]phenyl}imino)di-2,1-ethanediyl diethyl biscarbonate
Synonyms ethyl 5-[3-chloro-4-[(2-cyano-4-nitrophenyl)azo]phenyl]-9-oxo-2,8,10-trioxa-5-azadodecanoate
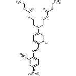
Molecular Structure CAS#: 73384-66-4, ({3-Chloro-4-[(2-cyano-4-nitrophenyl)diazenyl]phenyl}imino)di-2,1-ethanediyl diethyl biscarbonate
Molecular Formula C23H24ClN5O8
Molecular Weight 533.92
CAS Registry Number 73384-66-4
EINECS 277-408-2
SMILES Clc2cc(ccc2N=Nc1ccc(cc1C#N)[N+]([O-])=O)N(CCOC(=O)OCC)CCOC(=O)OCC
InChI 1S/C23H24ClN5O8/c1-3-34-22(30)36-11-9-28(10-12-37-23(31)35-4-2)17-5-8-21(19(24)14-17)27-26-20-7-6-18(29(32)33)13-16(20)15-25/h5-8,13-14H,3-4,9-12H2,1-2H3
InChIKey OZPWXOCUMJVGST-UHFFFAOYSA-N
Properties
Density 1.349g/cm3 (Cal.)
Boiling point 686.715°C at 760 mmHg (Cal.)
Flash point 369.112°C (Cal.)
Market Analysis Reports
Related Products
(1R,2S)-1-(3-Ch...  2-Chloro-6-cyan...  2-Chloro-5-cyan...  2-Chloro-N-(3-c...  5-Chloro-4-cyan...  2-Chloro-N-(2-C...  3-Chloro-N-[2-[...  N-[4-Chloro-2-[...  N-[2-[(2-Chloro...  N-[2-(2-Chloro-...  2-[[3-Chloro-4-...  6-Chloro-2-cyan...  5-Chloro-N-[3-[...  4-Chloro-3-cyan...  2-Chloro-4-cyan...  2-Chloro-5-cyan...  4-(3-Chloro-2-C...  2-Chloro-N-(4-C...  2-Chloro-N-(3-C...  N-(4-Chloro-3-C...