Online Database of Chemicals from Around the World

N-[(E)-1-[[12-(3-Amino-3-Oxopropyl)-3-[3-(Diaminomethylideneamino)Propyl]-6,21-Bis(1-Hydroxyethyl)-7,25-Dimethyl-18-(2-Methylpropyl)-2,5,8,11,14,17,20,23-Octaoxo-1-Oxa-4,7,10,13,16,19,22-Heptazacyclopentacos-24-Yl]Amino]-1-Oxobut-2-En-2-Yl]-3-[3,4,5-Trihydroxy-6-(Hydroxymethyl)Oxan-2-Yl]Oxytetradecanamide
[CAS 74188-23-1]

Suppliers
CAS#: 74188-23-1
Product: N-[(E)-1-[[12-(3-Amino-3-Oxopropyl)-3-[3-(Diaminomethylideneamino)Propyl]-6,21-Bis(1-Hydroxyethyl)-7,25-Dimethyl-18-(2-Methylpropyl)-2,5,8,11,14,17,20,23-Octaoxo-1-Oxa-4,7,10,13,16,19,22-Heptazacyclopentacos-24-Yl]Amino]-1-Oxobut-2-En-2-Yl]-3-[3,4,5-Trihydroxy-6-(Hydroxymethyl)Oxan-2-Yl]Oxytetradecanamide
No suppilers available for the product.
Identification
Name N-[(E)-1-[[12-(3-Amino-3-Oxopropyl)-3-[3-(Diaminomethylideneamino)Propyl]-6,21-Bis(1-Hydroxyethyl)-7,25-Dimethyl-18-(2-Methylpropyl)-2,5,8,11,14,17,20,23-Octaoxo-1-Oxa-4,7,10,13,16,19,22-Heptazacyclopentacos-24-Yl]Amino]-1-Oxobut-2-En-2-Yl]-3-[3,4,5-Trihydroxy-6-(Hydroxymethyl)Oxan-2-Yl]Oxytetradecanamide
Synonyms N-[(E)-1-[[12-(3-Amino-3-Oxo-Propyl)-3-(3-Guanidinopropyl)-6,21-Bis(1-Hydroxyethyl)-18-Isobutyl-7,25-Dimethyl-2,5,8,11,14,17,20,23-Octaoxo-1-Oxa-4,7,10,13,16,19,22-Heptazacyclopentacos-24-Yl]Carbamoyl]Prop-1-Enyl]-3-[3,4,5-Trihydroxy-6-(Hydroxymethyl)Tetrahydropyran-2-Yl]Oxy-Tetradecanamide; N-[(E)-1-[[[12-(3-Amino-3-Oxopropyl)-3-(3-Guanidinopropyl)-6,21-Bis(1-Hydroxyethyl)-18-Isobutyl-7,25-Dimethyl-2,5,8,11,14,17,20,23-Octaoxo-1-Oxa-4,7,10,13,16,19,22-Heptazacyclopentacos-24-Yl]Amino]-Oxomethyl]Prop-1-Enyl]-3-[[3,4,5-Trihydroxy-6-(Hydroxymethyl)-2-Tetrahydropyranyl]Oxy]Tetradecanamide; 3-[3-(3-Guanidinopropyl)-6,21-Bis(1-Hydroxyethyl)-18-Isobutyl-2,5,8,11,14,17,20,23-Octaketo-7,25-Dimethyl-24-[[(E)-2-[3-(3,4,5-Trihydroxy-6-Methylol-Tetrahydropyran-2-Yl)Oxytetradecanoylamino]But-2-Enoyl]Amino]-1-Oxa-4,7,10,13,16,19,22-Heptazacyclopentacos-12-Yl]Propionamide
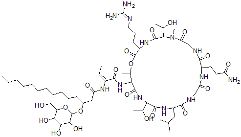
Molecular Structure CAS#: 74188-23-1, N-[(E)-1-[[12-(3-Amino-3-Oxopropyl)-3-[3-(Diaminomethylideneamino)Propyl]-6,21-Bis(1-Hydroxyethyl)-7,25-Dimethyl-18-(2-Methylpropyl)-2,5,8,11,14,17,20,23-Octaoxo-1-Oxa-4,7,10,13,16,19,22-Heptazacyclopentacos-24-Yl]Amino]-1-Oxobut-2-En-2-Yl]-3-[3,4,5-Trihydroxy-6-(Hydroxymethyl)Oxan-2-Yl]Oxytetradecanamide
Molecular Formula C58H101N13O20
Molecular Weight 1300.51
CAS Registry Number 74188-23-1
SMILES C(O)C2OC(OC(CCCCCCCCCCC)CC(=O)NC(/C(=O)NC1C(OC(=O)C(NC(=O)C(N(C(=O)CNC(=O)C(NC(=O)CNC(=O)C(NC(=O)C(NC1=O)C(O)C)CC(C)C)CCC(=O)N)C)C(O)C)CCCN=C(N)N)C)=C/C)C(O)C(O)C2O
InChI 1S/C58H101N13O20/c1-9-11-12-13-14-15-16-17-18-20-34(90-57-49(81)48(80)47(79)39(29-72)91-57)26-41(76)65-35(10-2)52(84)70-45-33(7)89-56(88)37(21-19-24-62-58(60)61)67-55(87)46(32(6)74)71(8)43(78)28-64-50(82)36(22-23-40(59)75)66-42(77)27-63-51(83)38(25-30(3)4)68-53(85)44(31(5)73)69-54(45)86/h10,30-34,36-39,44-49,57,72-74,79-81H,9,11-29H2,1-8H3,(H2,59,75)(H,63,83)(H,64,82)(H,65,76)(H,66,77)(H,67,87)(H,68,85)(H,69,86)(H,70,84)(H4,60,61,62)/b35-10+
InChIKey GMKUYPOKOFFZTR-KJRGEGHNSA-N
Properties
Density 1.424g/cm3 (Cal.)
Market Analysis Reports
Related Products
2-[(3-Amino-3-o...  2-((5-(((5-(((3...  N-(3-Amino-3-Ox...  (1R,2S,4R,5R,6R...  3-(3-Amino-3-ox...  4-(3-Amino-3-ox...  N-[2-[(3-Amino-...  N-(3-Amino-3-ox...  3-(3-Amino-3-ox...  N-[(Z)-1-[[12-(...  3-(3-Amino-3-Ox...  3-(3-Amino-3-Ox...  1-(3-Amino-3-Ox...  (5E)-2-Amino-5-...  N-(3-Amino-3-ox...  [2S-[1(R*),2alp...  N-[2-[(3-Amino-...  3-[(3-Amino-3-O...  [(2R,3S)-3-(2-A...  (2S)-2-[[4-[1-(...