Online Database of Chemicals from Around the World

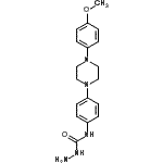
N-{4-[4-(4-Methoxyphenyl)-1-piperazinyl]phenyl}hydrazinecarboxamide
[CAS 74852-89-4]

Suppliers
Ryan Scientific, Inc. USA
+1 (843)-884-4911
sales@ryansci.com
Chemical manufacturer
Specs Ltd. Netherlands
+31 (15) 251-8111
info@specs.net
Chemical manufacturer since 1987
Identification
Name N-{4-[4-(4-Methoxyphenyl)-1-piperazinyl]phenyl}hydrazinecarboxamide
Synonyms 4-{[4-(4-METHYLOXY-PHENYL)-PIPERAZIN-1-YL]-PHENYL}-HYDRAZINECARBOXAMIDE; N-{4-[4-(4-methoxyphenyl)-1-piperazinyl]phenyl}hydrazinecarboxamide; AQ-358/40633633
Molecular Structure CAS#: 74852-89-4, N-{4-[4-(4-Methoxyphenyl)-1-piperazinyl]phenyl}hydrazinecarboxamide
Molecular Formula C18H23N5O2
Molecular Weight 341.41
CAS Registry Number 74852-89-4
SMILES COC1=CC=C(C=C1)N2CCN(CC2)C3=CC=C(C=C3)NC(=O)NN
InChI 1S/C18H23N5O2/c1-25-17-8-6-16(7-9-17)23-12-10-22(11-13-23)15-4-2-14(3-5-15)20-18(24)21-19/h2-9H,10-13,19H2,1H3,(H2,20,21,24)
InChIKey SJJKOFVYSSHYQQ-UHFFFAOYSA-N
Properties
Density 1.3±0.1g/cm3 (Cal.)
Market Analysis Reports
Related Products
(8a)-8-[[4-(4-M...  [4-(4-Methoxyph...  3-(4-(2-Methoxy...  7-[4-(4-Methoxy...  7-[4-(2-Methoxy...  5-[4-(2-Methoxy...  3-[4-(2-Methoxy...  (1R,2S,6R)-2-[4...  1-[4-(4-Methoxy...  [4-[4-(4-Methox...  1-[4-[4-(4-Meth...  1-[4-(2-Methoxy...  3-[4-(4-Methoxy...  1-Methoxy-3-(4-...  4-[3-[4-(2-Meth...  7-Methoxy-8-[3-...  7-Methoxy-8-[3-...  N-(4-{3-[4-(2-M...  1-[3-[4-(2-Meth...  2-[3-[4-(2-Meth...