Online Database of Chemicals from Around the World

2,4-Diacetylhematoporphyrin Dimethyl Ester
[CAS 75162-60-6]

Suppliers
CAS#: 75162-60-6
Product: 2,4-Diacetylhematoporphyrin Dimethyl Ester
No suppilers available for the product.
Identification
Name 2,4-Diacetylhematoporphyrin Dimethyl Ester
Synonyms Dahp-Dme
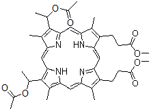
Molecular Structure CAS#: 75162-60-6, 2,4-Diacetylhematoporphyrin Dimethyl Ester
Molecular Formula C40H46N4O8
Molecular Weight 710.83
CAS Registry Number 75162-60-6
SMILES C(C1=C(C3=NC1=CC5=NC(=CC2=C(C(=C([NH]2)C=C4[NH]C(=C3)C(=C4C)C(OC(=O)C)C)C(OC(=O)C)C)C)C(=C5CCC(OC)=O)C)C)CC(OC)=O
InChI 1S/C40H46N4O8/c1-19-27(11-13-37(47)49-9)33-18-34-28(12-14-38(48)50-10)20(2)30(42-34)16-35-40(24(6)52-26(8)46)22(4)32(44-35)17-36-39(23(5)51-25(7)45)21(3)31(43-36)15-29(19)41-33/h15-18,23-24,43-44H,11-14H2,1-10H3
InChIKey CMPGXLXIGQGNTP-UHFFFAOYSA-N
Properties
Density 1.221g/cm3 (Cal.)
Boiling point 1040.763°C at 760 mmHg (Cal.)
Flash point 583.232°C (Cal.)
Market Analysis Reports
Related Products
3',5'-Di-O-acet...  1-O-(2',3'-Diac...  2,5-Diacetylfur...  4’,5-Di-O-acety...  4’,5-Di-O-acety...  2,3-Di-O-Acetyl...  Diacetyl-L-Glyc...  N,N'-Diacetylgl...  N,9-Diacetylgua...  O,O'-Diacetylhe...  4,4-Diacetylhep...  N1',N6'-Diacety...  3,4-Diacetyl-2,...  3,4-Diacetyl-3-...  Diacetyl hydraz...  4,4-Diacetyl-1-...  2,5-Diacetyl-6-...  1,4-Diacetyl-5-...  2,3-Diacetyl-4-...  N,N'-Diacetyl-4...