Online Database of Chemicals from Around the World

Hexaethyl tetraphosphate
[CAS 757-58-4]

List of Suppliers
CAS: 757-58-4
Product: Hexaethyl tetraphosphate
No suppliers available.
Identification
ClassificationOrganic raw materials >> Inorganic acid ester
NameHexaethyl tetraphosphate
SynonymsBladan; HET
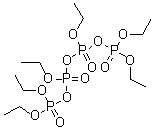
Molecular StructureHexaethyl tetraphosphate molecular structure (CAS 757-58-4)
Molecular FormulaC12H30O13P4
Molecular Weight506.25
CAS Registry Number757-58-4
EC Number212-057-0
Properties
SolubilitySlightly soluble (3.6 g/L) (25 °C), Calc.*
Density1.357 g/cm3 (25 °C)**
Melting point-40 °C (approx)***
Refractive index1.4332 (589.3 nm 25 °C)**
*Calculated using Advanced Chemistry Development (ACD/Labs) Software V11.02 (©1994-2017 ACD/Labs)
**Adler, Howard
***"Hazardous Substances Data Bank" data were obtained from the National Library of Medicine (US)
Market Analysis Reports
Related Products
Hexaethylenegly...  Hexaethylene gl...  Hexaethylguanid...  Hexaethyl 2,2',...  N1,N1,N1,N6,N6,...  Hexa-(2-ethylhe...  1,1,1,5,5,5-Hex...  Hexaethylphosph...  Hexaethyl 1,1,2...  N,N,N,N',N',N'-...  N2,N2,N4,N4,N6,...  Hexaethyl 2,2',...  Hexaflumuron  Hexafluoroaceto...  Hexafluoroaceto...  Hexafluoroaceto...  Hexafluoroaceto...  Hexafluoroacety...  Hexafluoroalumi...  (Oc-6-11)-Hexaf...