Identification
| Name |
Methyl 4-[4-Dimethylamino-5-[4-Hydroxy-6-Methyl-5-(6-Methyl-5-Oxooxan-2-Yl)Oxyoxan-2-Yl]Oxy-6-Methyloxan-2-Yl]Oxy-2-Ethyl-2,7-Dihydroxy-5-Methoxy-6,11-Dioxo-3,4-Dihydro-1H-Tetracene-1-Carboxylate |
| Synonyms |
Methyl 4-[4-Dimethylamino-5-[4-Hydroxy-6-Methyl-5-(6-Methyl-5-Oxo-Tetrahydropyran-2-Yl)Oxy-Tetrahydropyran-2-Yl]Oxy-6-Methyl-Tetrahydropyran-2-Yl]Oxy-2-Ethyl-2,7-Dihydroxy-5-Methoxy-6,11-Dioxo-3,4-Dihydro-1H-Tetracene-1-Carboxylate; 4-[[4-Dimethylamino-5-[[4-Hydroxy-6-Methyl-5-[(6-Methyl-5-Oxo-2-Tetrahydropyranyl)Oxy]-2-Tetrahydropyranyl]Oxy]-6-Methyl-2-Tetrahydropyranyl]Oxy]-2-Ethyl-2,7-Dihydroxy-5-Methoxy-6,11-Dioxo-3,4-Dihydro-1H-Tetracene-1-Carboxylic Acid Methyl Ester; 4-[4-Dimethylamino-5-[4-Hydroxy-5-(5-Keto-6-Methyl-Tetrahydropyran-2-Yl)Oxy-6-Methyl-Tetrahydropyran-2-Yl]Oxy-6-Methyl-Tetrahydropyran-2-Yl]Oxy-2-Ethyl-2,7-Dihydroxy-6,11-Diketo-5-Methoxy-3,4-Dihydro-1H-Tetracene-1-Carboxylic Acid Methyl Ester |
|
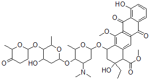
| Molecular Structure |
![CAS#: 76264-92-1, Methyl 4-[4-Dimethylamino-5-[4-Hydroxy-6-Methyl-5-(6-Methyl-5-Oxooxan-2-Yl)Oxyoxan-2-Yl]Oxy-6-Methyloxan-2-Yl]Oxy-2-Ethyl-2,7-Dihydroxy-5-Methoxy-6,11-Dioxo-3,4-Dihydro-1H-Tetracene-1-Carboxylate](/moreStructures/76264-92-1.gif) |
| Molecular Formula |
C43H55NO15 |
| Molecular Weight |
825.91 |
| CAS Registry Number |
76264-92-1 |
| SMILES |
C1=CC=C2C(=C1O)C(C3=C(C2=O)C=C4C(=C3OC)C(CC(C4C(=O)OC)(O)CC)OC5CC(C(C(O5)C)OC6CC(C(C(O6)C)OC7CCC(C(O7)C)=O)O)N(C)C)=O |
| InChI |
1S/C43H55NO15/c1-9-43(51)18-29(34-23(36(43)42(50)53-8)15-24-35(41(34)52-7)38(49)33-22(37(24)48)11-10-12-27(33)46)57-31-16-25(44(5)6)39(20(3)55-31)59-32-17-28(47)40(21(4)56-32)58-30-14-13-26(45)19(2)54-30/h10-12,15,19-21,25,28-32,36,39-40,46-47,51H,9,13-14,16-18H2,1-8H3 |
| InChIKey |
MZKGIAGYKSRHPV-UHFFFAOYSA-N |
|