Online Database of Chemicals from Around the World

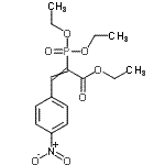
Ethyl 2-(diethoxyphosphoryl)-3-(4-nitrophenyl)acrylate
[CAS 76386-70-4]

Suppliers
Achemica Switzerland
+41 (24) 466-2929
contact@achemica.com
Chemical manufacturer since 2010
Identification
Name Ethyl 2-(diethoxyphosphoryl)-3-(4-nitrophenyl)acrylate
Molecular Structure CAS#: 76386-70-4, Ethyl 2-(diethoxyphosphoryl)-3-(4-nitrophenyl)acrylate
Molecular Formula C15H20NO7P
Molecular Weight 357.30
CAS Registry Number 76386-70-4
SMILES [O-][N+](=O)c1ccc(C=C(C(=O)OCC)P(=O)(OCC)OCC)cc1
InChI 1S/C15H20NO7P/c1-4-21-15(17)14(24(20,22-5-2)23-6-3)11-12-7-9-13(10-8-12)16(18)19/h7-11H,4-6H2,1-3H3
InChIKey XPCUBCCQTGICBN-UHFFFAOYSA-N
Properties
Density 1.27g/cm3 (Cal.)
Boiling point 468.588°C at 760 mmHg (Cal.)
Flash point 237.194°C (Cal.)
Market Analysis Reports
Related Products
Ethyl (E)-3-Die...  Ethyl diethoxyp...  Ethyl (Diethoxy...  Ethyl (Diethoxy...  Ethyl 4-(Dietho...  Ethyl 3-(Dietho...  Ethyl 2-(Dietho...  Ethyl (Diethoxy...  Ethyl 2-Diethox...  Ethyl 6-(Dietho...  Ethyl 2-Diethox...  Ethyl (Z)-3-Die...  Ethyl 2-diethox...  Ethyl 2-(Dietho...  Ethyl 3,3-dieth...  Ethyl 2,2-Dieth...  Ethyl 2,2-Dieth...  Ethyl 2-Diethyl...  Ethyl (E)-3-(di...  Ethyl N,N-dieth...