Online Database of Chemicals from Around the World

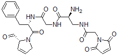
(2S)-2-Amino-3-[[2-(2,5-Dioxopyrrol-1-Yl)Acetyl]Amino]-N-[2-[[(2S)-1-[(2R)-2-Formyl-2,5-Dihydropyrrol-1-Yl]-1-Oxo-3-Phenylpropan-2-Yl]Amino]-2-Oxoethyl]Propanamide
[CAS 77087-68-4]

Suppliers
CAS#: 77087-68-4
Product: (2S)-2-Amino-3-[[2-(2,5-Dioxopyrrol-1-Yl)Acetyl]Amino]-N-[2-[[(2S)-1-[(2R)-2-Formyl-2,5-Dihydropyrrol-1-Yl]-1-Oxo-3-Phenylpropan-2-Yl]Amino]-2-Oxoethyl]Propanamide
No suppilers available for the product.
Identification
Name (2S)-2-Amino-3-[[2-(2,5-Dioxopyrrol-1-Yl)Acetyl]Amino]-N-[2-[[(2S)-1-[(2R)-2-Formyl-2,5-Dihydropyrrol-1-Yl]-1-Oxo-3-Phenylpropan-2-Yl]Amino]-2-Oxoethyl]Propanamide
Synonyms (2S)-2-Amino-3-[[2-(2,5-Dioxopyrrol-1-Yl)Acetyl]Amino]-N-[2-[[(1S)-2-[(2R)-2-Formyl-2,5-Dihydropyrrol-1-Yl]-2-Oxo-1-(Phenylmethyl)Ethyl]Amino]-2-Oxo-Ethyl]Propanamide; (2S)-2-Amino-3-[[2-(2,5-Dioxo-1-Pyrrolyl)-1-Oxoethyl]Amino]-N-[2-[[(1S)-2-[(2R)-2-Formyl-2,5-Dihydropyrrol-1-Yl]-2-Oxo-1-(Phenylmethyl)Ethyl]Amino]-2-Oxoethyl]Propanamide; (2S)-2-Amino-N-[2-[[(1S)-1-(Benzyl)-2-[(2R)-2-Formyl-3-Pyrrolin-1-Yl]-2-Keto-Ethyl]Amino]-2-Keto-Ethyl]-3-[(2-Maleimidoacetyl)Amino]Propionamide
Molecular Structure CAS#: 77087-68-4, (2S)-2-Amino-3-[[2-(2,5-Dioxopyrrol-1-Yl)Acetyl]Amino]-N-[2-[[(2S)-1-[(2R)-2-Formyl-2,5-Dihydropyrrol-1-Yl]-1-Oxo-3-Phenylpropan-2-Yl]Amino]-2-Oxoethyl]Propanamide
Molecular Formula C25H28N6O7
Molecular Weight 524.53
CAS Registry Number 77087-68-4
SMILES [C@@H]1(C=O)N(CC=C1)C([C@@H](NC(CNC([C@@H](N)CNC(=O)CN2C(C=CC2=O)=O)=O)=O)CC3=CC=CC=C3)=O
InChI 1S/C25H28N6O7/c26-18(12-27-21(34)14-31-22(35)8-9-23(31)36)24(37)28-13-20(33)29-19(11-16-5-2-1-3-6-16)25(38)30-10-4-7-17(30)15-32/h1-9,15,17-19H,10-14,26H2,(H,27,34)(H,28,37)(H,29,33)/t17-,18+,19+/m1/s1
InChIKey NKWRGZBPAUARKX-QYZOEREBSA-N
Properties
Density 1.425g/cm3 (Cal.)
Boiling point 968.791°C at 760 mmHg (Cal.)
Flash point 539.706°C (Cal.)
Market Analysis Reports
Related Products
2-(3-Amino-2,6-...  4-Amino-2-(2,6-...  1-Amino-9,10-di...  N-(6-Amino-2,4-...  N-[6-Amino-2,4-...  2-[[2-Amino-2-[...  (4S,5S,6S)-6-[(...  2-Amino-2-(2,6-...  [(3S)-3-Amino-2...  [(1S)-4-Amino-1...  (2R)-2-Amino-3-...  2-({4-[(2-{[4-(...  2-Amino-4,7-Dio...  3-(2-Amino-4,6-...  4-Amino-2,6-Dio...  4-Amino-2,6-Dio...  6-Amino-2,4-dio...  3-Amino-2,4-dio...  (2S,5R,6R)-6-Am...  2-Aminodiphenyl...