Online Database of Chemicals from Around the World

Magurlit
[CAS 78090-19-4]

Suppliers
CAS#: 78090-19-4
Product: Magurlit
No suppilers available for the product.
Identification
Name Magurlit
Synonyms Magnesium; Tripotassium; Trisodium; 4,5-Bis(Hydroxymethyl)-2-Methyl-Pyridin-3-Ol; 2-(Carboxymethyl)-2-Hydroxy-Butanedioate; Citric Acid
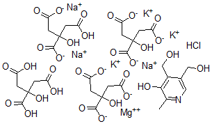
Molecular Structure CAS#: 78090-19-4, Magurlit
Molecular Formula C32H36ClK3MgNNa3O31
Molecular Weight 1176.65
CAS Registry Number 78090-19-4
SMILES [Mg++].OC(CC(O)=O)(CC(O)=O)C(O)=O.OC(CC(O)=O)(CC([O-])=O)C([O-])=O.OC(CC([O-])=O)(CC([O-])=O)C([O-])=O.OC(CC([O-])=O)(CC([O-])=O)C([O-])=O.OC1=C(C(=CN=C1C)CO)CO.[H+].[K+].[K+].[K+].[Na+].[Na+].[Na+].[Cl-]
InChI 1S/C8H11NO3.4C6H8O7.ClH.3K.Mg.3Na/c1-5-8(12)7(4-11)6(3-10)2-9-5;4*7-3(8)1-6(13,5(11)12)2-4(9)10;;;;;;;;/h2,10-12H,3-4H2,1H3;4*13H,1-2H2,(H,7,8)(H,9,10)(H,11,12);1H;;;;;;;/q;;;;;;3*+1;+2;3*+1/p-8
InChIKey IVIUVNUZNPMEIH-UHFFFAOYSA-F
Properties
Boiling point 309.6°C at 760 mmHg (Cal.)
Flash point 155.2°C (Cal.)
Market Analysis Reports
Related Products
Magnolia Grandi...  Magnolianin  Magnolignan A;5...  Magnolignan C;(...  Magnolin  Magnolol;5,5'-D...  Magnoloside A  Magnopeptin  Magnosalicin;(2...  Magnoshinin;MAG...  Mahanimbin;(+)-...  Mahanine;(3R)-3...  Maitotoxin  Majantol;2,2-Di...  Majonoside R2;(...  Majoroside F5;(...  Majoroside F6;(...  MAK683;MAK-683;...  Makaluvamine A;...  MAK-683 hydroch...