Online Database of Chemicals from Around the World

4-[4-[4-[5-[5-Amino-3-(2-Aminopropanoylamino)-4-Hydroxy-6-Methyloxan-2-Yl]Oxy-3,4-Dihydroxy-6-(Hydroxymethyl)Oxan-2-Yl]Oxy-3,5-Dihydroxy-6-(Hydroxymethyl)Oxan-2-Yl]Oxy-3-Hydroxy-5-(Hydroxymethyl)Oxolan-2-Yl]Oxy-N-[3-[4-(4-Aminobutylamino)Butylamino]Propyl]Benzamide
[CAS 78213-54-4]

Suppliers
CAS#: 78213-54-4
Product: 4-[4-[4-[5-[5-Amino-3-(2-Aminopropanoylamino)-4-Hydroxy-6-Methyloxan-2-Yl]Oxy-3,4-Dihydroxy-6-(Hydroxymethyl)Oxan-2-Yl]Oxy-3,5-Dihydroxy-6-(Hydroxymethyl)Oxan-2-Yl]Oxy-3-Hydroxy-5-(Hydroxymethyl)Oxolan-2-Yl]Oxy-N-[3-[4-(4-Aminobutylamino)Butylamino]Propyl]Benzamide
No suppilers available for the product.
Identification
Name 4-[4-[4-[5-[5-Amino-3-(2-Aminopropanoylamino)-4-Hydroxy-6-Methyloxan-2-Yl]Oxy-3,4-Dihydroxy-6-(Hydroxymethyl)Oxan-2-Yl]Oxy-3,5-Dihydroxy-6-(Hydroxymethyl)Oxan-2-Yl]Oxy-3-Hydroxy-5-(Hydroxymethyl)Oxolan-2-Yl]Oxy-N-[3-[4-(4-Aminobutylamino)Butylamino]Propyl]Benzamide
Synonyms 4-[4-[4-[5-[5-Amino-3-(2-Aminopropanoylamino)-4-Hydroxy-6-Methyl-Tetrahydropyran-2-Yl]Oxy-3,4-Dihydroxy-6-(Hydroxymethyl)Tetrahydropyran-2-Yl]Oxy-3,5-Dihydroxy-6-(Hydroxymethyl)Tetrahydropyran-2-Yl]Oxy-3-Hydroxy-5-(Hydroxymethyl)Tetrahydrofuran-2-Yl]Oxy-N-[3-[4-(4-Aminobutylamino)Butylamino]Propyl]Benzamide; 4-[[4-[[4-[[5-[[5-Amino-3-[(2-Amino-1-Oxopropyl)Amino]-4-Hydroxy-6-Methyl-2-Tetrahydropyranyl]Oxy]-3,4-Dihydroxy-6-(Hydroxymethyl)-2-Tetrahydropyranyl]Oxy]-3,5-Dihydroxy-6-(Hydroxymethyl)-2-Tetrahydropyranyl]Oxy]-3-Hydroxy-5-(Hydroxymethyl)-2-Tetrahydrofuranyl]Oxy]-N-[3-[4-(4-Aminobutylamino)Butylamino]Propyl]Benzamide; 4-[4-[4-[5-[3-(Alanylamino)-5-Amino-4-Hydroxy-6-Methyl-Tetrahydropyran-2-Yl]Oxy-3,4-Dihydroxy-6-Methylol-Tetrahydropyran-2-Yl]Oxy-3,5-Dihydroxy-6-Methylol-Tetrahydropyran-2-Yl]Oxy-3-Hydroxy-5-Methylol-Tetrahydrofuran-2-Yl]Oxy-N-[3-[4-(4-Aminobutylamino)Butylamino]Propyl]Benzamide
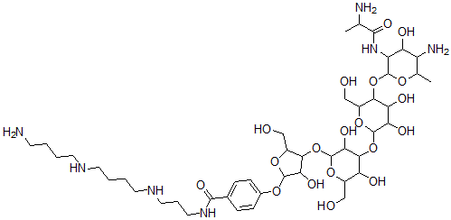
Molecular Structure CAS#: 78213-54-4, 4-[4-[4-[5-[5-Amino-3-(2-Aminopropanoylamino)-4-Hydroxy-6-Methyloxan-2-Yl]Oxy-3,4-Dihydroxy-6-(Hydroxymethyl)Oxan-2-Yl]Oxy-3,5-Dihydroxy-6-(Hydroxymethyl)Oxan-2-Yl]Oxy-3-Hydroxy-5-(Hydroxymethyl)Oxolan-2-Yl]Oxy-N-[3-[4-(4-Aminobutylamino)Butylamino]Propyl]Benzamide
Molecular Formula C44H77N7O19
Molecular Weight 1008.13
CAS Registry Number 78213-54-4
SMILES C5=C(OC4OC(C(OC1C(C(C(O)C(O1)CO)OC3C(C(C(OC2C(C(C(C(O2)C)N)O)NC(C(C)N)=O)C(O3)CO)O)O)O)C4O)CO)C=CC(=C5)C(=O)NCCCNCCCCNCCCCN
InChI 1S/C44H77N7O19/c1-21(46)39(61)51-29-31(56)28(47)22(2)63-41(29)68-36-26(19-53)66-42(33(58)32(36)57)70-38-30(55)25(18-52)65-44(35(38)60)69-37-27(20-54)67-43(34(37)59)64-24-10-8-23(9-11-24)40(62)50-17-7-16-49-15-6-5-14-48-13-4-3-12-45/h8-11,21-22,25-38,41-44,48-49,52-60H,3-7,12-20,45-47H2,1-2H3,(H,50,62)(H,51,61)
InChIKey RHNHFMNAFLYIKD-UHFFFAOYSA-N
Properties
Density 1.447g/cm3 (Cal.)
Boiling point 1244.264°C at 760 mmHg (Cal.)
Flash point 706.305°C (Cal.)
Market Analysis Reports
Related Products
4-Amino-5-(4-Am...  2-Amino-1-(4-am...  5-Amino-6-{[(3-...  5-Amino-2-(4-am...  4-Amino-N-(4-am...  2-Amino-5-(4-Am...  N-[[5-Amino-2-[...  (2S)-2-Amino-3-...  [Amino-[4-(Amin...  5-Amino-7-(3-Am...  4-[4-[4-[5-[5-A...  4-[4-[4-[5-[5-A...  [(3S)-3-[[(2S)-...  (2S)-2-[[(2S)-5...  (E,2S)-6-Amino-...  (2S,3S,4R,5R)-2...  (R)-3-Amino-4-[...  1-Amino-3-(3-Am...  4-Amino-6-(2-Am...  3-Amino-4-(3-am...