| Achemica | Switzerland | |||
|---|---|---|---|---|
![]() |
+41 (24) 466-2929 | |||
![]() |
contact@achemica.com | |||
| Chemical manufacturer since 2010 | ||||
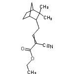
| Name | Ethyl 2-cyano-4-(3,3-dimethylbicyclo[2.2.1]hept-2-yl)-2-butenoate |
|---|---|
| Synonyms | ethyl 2-c |
| Molecular Structure | ![]() |
| Molecular Formula | C16H23NO2 |
| Molecular Weight | 261.36 |
| CAS Registry Number | 79569-93-0 |
| EINECS | 279-183-6 |
| SMILES | CC2(C)C1CCC(C1)C2CC=C(C#N)C(=O)OCC |
| InChI | 1S/C16H23NO2/c1-4-19-15(18)12(10-17)6-8-14-11-5-7-13(9-11)16(14,2)3/h6,11,13-14H,4-5,7-9H2,1-3H3 |
| InChIKey | FZWBEKGFRMVWMK-UHFFFAOYSA-N |
| Density | 1.029g/cm3 (Cal.) |
|---|---|
| Boiling point | 365.002°C at 760 mmHg (Cal.) |
| Flash point | 175.326°C (Cal.) |
| Market Analysis Reports |