Online Database of Chemicals from Around the World

Prototapen
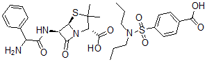
[CAS 80042-41-7]

Suppliers
CAS#: 80042-41-7
Product: Prototapen
No suppilers available for the product.
Identification
Name Prototapen
Synonyms (2S,5R,6R)-6-[(2-Amino-2-Phenyl-Acetyl)Amino]-3,3-Dimethyl-7-Oxo-4-Thia-1-Azabicyclo[3.2.0]Heptane-2-Carboxylic Acid; 4-(Dipropylsulfamoyl)Benzoic Acid; (2S,5R,6R)-6-[(2-Amino-1-Oxo-2-Phenylethyl)Amino]-3,3-Dimethyl-7-Oxo-4-Thia-1-Azabicyclo[3.2.0]Heptane-2-Carboxylic Acid; 4-(Dipropylsulfamoyl)Benzoic Acid; (2S,5R,6R)-6-[(2-Amino-2-Phenyl-Acetyl)Amino]-7-Keto-3,3-Dimethyl-4-Thia-1-Azabicyclo[3.2.0]Heptane-2-Carboxylic Acid; 4-(Dipropylsulfamoyl)Benzoic Acid
Molecular Structure CAS#: 80042-41-7, Prototapen
Molecular Formula C29H38N4O8S2
Molecular Weight 634.76
CAS Registry Number 80042-41-7
SMILES [C@H]12SC([C@@H](N1C(=O)[C@H]2NC(=O)C(N)C3=CC=CC=C3)C(=O)O)(C)C.C4=C([S](=O)(=O)N(CCC)CCC)C=CC(=C4)C(=O)O
InChI 1S/C16H19N3O4S.C13H19NO4S/c1-16(2)11(15(22)23)19-13(21)10(14(19)24-16)18-12(20)9(17)8-6-4-3-5-7-8;1-3-9-14(10-4-2)19(17,18)12-7-5-11(6-8-12)13(15)16/h3-7,9-11,14H,17H2,1-2H3,(H,18,20)(H,22,23);5-8H,3-4,9-10H2,1-2H3,(H,15,16)/t9?,10-,11+,14-;/m1./s1
InChIKey HIPBWZZGQFEBCC-GJUCOGTPSA-N
Properties
Boiling point 683.9°C at 760 mmHg (Cal.)
Flash point 367.4°C (Cal.)
Market Analysis Reports
Related Products
Protoporphyrin ...  Protoporphyrin ...  Protoporphyrin ...  Protopseudohype...  (+)-Proto-Querc...  Protorubradirin...  Protosappanin A...  Protosappanin B...  Protostemonine;...  Protostemotinin...  Prototribestin;...  Protoveratrine  Protoveratrine ...  Protoveratrines...  Protoverine;Pro...  Protriptyline;5...  Protriptyline-d...  Protriptyline H...  2-Pro-6,8-Trp-1...  (D-Pro4,D-Trp7,...