Online Database of Chemicals from Around the World

1,2-Bis(4-(1-Pyreno)Butanoyl)-Sn-Glycero-3-Phosphorylcholine
[CAS 80115-55-5]

Suppliers
CAS#: 80115-55-5
Product: 1,2-Bis(4-(1-Pyreno)Butanoyl)-Sn-Glycero-3-Phosphorylcholine
No suppilers available for the product.
Identification
Name 1,2-Bis(4-(1-Pyreno)Butanoyl)-Sn-Glycero-3-Phosphorylcholine
Synonyms [(2R)-2,3-Bis(4-Pyren-4-Ylbutanoyloxy)Propyl] 2-Trimethylammonioethyl Phosphate; [(2R)-2,3-Bis[1-Oxo-4-(4-Pyrenyl)Butoxy]Propyl] 2-Trimethylammonioethyl Phosphate; 1,2-Bis(4-(1-Pyreno)Butanoyl)-Sn-Glycero-3-Phosphorylcholine
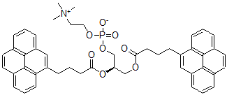
Molecular Structure CAS#: 80115-55-5, 1,2-Bis(4-(1-Pyreno)Butanoyl)-Sn-Glycero-3-Phosphorylcholine
Molecular Formula C48H48NO8P
Molecular Weight 797.88
CAS Registry Number 80115-55-5
SMILES [C@H](CO[P](OCC[N+](C)(C)C)(=O)[O-])(COC(CCCC2=CC1=CC=CC4=C1C3=C2C=CC=C3C=C4)=O)OC(CCCC6=CC5=CC=CC8=C5C7=C6C=CC=C7C=C8)=O
InChI 1S/C48H48NO8P/c1-49(2,3)26-27-55-58(52,53)56-31-40(57-44(51)21-9-15-37-29-39-17-5-11-33-23-25-35-13-7-19-42(37)48(35)46(33)39)30-54-43(50)20-8-14-36-28-38-16-4-10-32-22-24-34-12-6-18-41(36)47(34)45(32)38/h4-7,10-13,16-19,22-25,28-29,40H,8-9,14-15,20-21,26-27,30-31H2,1-3H3/t40-/m1/s1
InChIKey VHLDVPUFVVHFQE-RRHRGVEJSA-N
Market Analysis Reports
Related Products
Bis(2-propylhex...  Bis(propylmercu...  Bis(1-propyl-3-...  Bis(2-propyloct...  1,3-Bis(2-Propy...  1-Bis(Propylsul...  [Bis(Propylthio...  2-[Bis(Propylth...  1,3-Bis(2-Propy...  bis[m-(1H-pyraz...  2,3-Bis(14-Pyre...  Bispyribac;2,6-...  Bispyribac-sodi...  [3,5-Bis(Pyridi...  trans-1,2-Bis(2...  Bis(2-pyridinec...  Bis(2-pyridinec...  Bis(pyridine)io...  Bis(Pyridine)(T...  (3,4-Bispyridin...