Online Database of Chemicals from Around the World

N-Acetylleukotriene D4
[CAS 80115-94-2]

Suppliers
CAS#: 80115-94-2
Product: N-Acetylleukotriene D4
No suppilers available for the product.
Identification
Name N-Acetylleukotriene D4
Synonyms (5S,6R,7E,9E,11Z,14Z)-6-[(2R)-2-Acetamido-3-(Carboxymethylamino)-3-Oxo-Propyl]Sulfanyl-5-Hydroxy-Icosa-7,9,11,14-Tetraenoic Acid; (5S,6R,7E,9E,11Z,14Z)-6-[[(2R)-2-Acetamido-3-(Carboxymethylamino)-3-Oxopropyl]Thio]-5-Hydroxyicosa-7,9,11,14-Tetraenoic Acid; 2-[[(2R)-2-Acetamido-3-[[(1R,2E,4E,6Z,9Z)-1-[(1S)-1,5-Dihydroxy-5-Keto-Pentyl]Pentadeca-2,4,6,9-Tetraenyl]Thio]Propanoyl]Amino]Acetic Acid
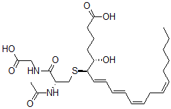
Molecular Structure CAS#: 80115-94-2, N-Acetylleukotriene D4
Molecular Formula C27H42N2O7S
Molecular Weight 538.70
CAS Registry Number 80115-94-2
SMILES [C@@H](NC(=O)C)(C(=O)NCC(=O)O)CS[C@@H]([C@@H](O)CCCC(=O)O)\C=C\C=C\C=C/C/C=C\CCCCC
InChI 1S/C27H42N2O7S/c1-3-4-5-6-7-8-9-10-11-12-13-14-17-24(23(31)16-15-18-25(32)33)37-20-22(29-21(2)30)27(36)28-19-26(34)35/h7-8,10-14,17,22-24,31H,3-6,9,15-16,18-20H2,1-2H3,(H,28,36)(H,29,30)(H,32,33)(H,34,35)/b8-7-,11-10-,13-12+,17-14+/t22-,23-,24+/m0/s1
InChIKey HJNOQTNZXQEPJB-NYLUJPCVSA-N
Properties
Density 1.165g/cm3 (Cal.)
Boiling point 862.261°C at 760 mmHg (Cal.)
Flash point 475.279°C (Cal.)
Market Analysis Reports
Related Products
N-Acetyl-L-leuc...  N-Acetylleucyl-...  N-Acetyl-L-leuc...  N-Acetyl-L-leuc...  N-Acetyl-L-leuc...  Acetyl-L-leucyl...  N2-[N-(N-Acetyl...  N-Acetylleucyl-...  N-Acetyl-Leucyl...  Acetyl-L-leucyl...  N-Acetyl Leukot...  N-Acetyl-leu(26...  5’-O-Acetyl (R)...  Acetyllithochol...  O-Acetyl losart...  Acetyllovastati...  Acetyl-Lys-D-Al...  N6-A...  Fmoc-N'-Acetyl-...  N-Acetyl-L-lysi...