|
CAS#: 80462-89-1 Product: N6-(2,4-Dinitrophenyl)-L-lysyl-L-lysyl-L-lysyl-L-lysyl-L-lysyl-N6-(2,4-dinitrophenyl)-L-lysyl-L-lysyl-L-lysyl-L-lysyl-L-lysyl-N6-(2,4-dinitrophenyl)-L-lysyl-L-lysyl-L-lysyl-L-lysyl-L-lysyl-N6-(2,4-dinitrophenyl)-L-Lysine No suppilers available for the product. |
| Name | N6-(2,4-Dinitrophenyl)-L-lysyl-L-lysyl-L-lysyl-L-lysyl-L-lysyl-N6-(2,4-dinitrophenyl)-L-lysyl-L-lysyl-L-lysyl-L-lysyl-L-lysyl-N6-(2,4-dinitrophenyl)-L-lysyl-L-lysyl-L-lysyl-L-lysyl-L-lysyl-N6-(2,4-dinitrophenyl)-L-Lysine |
|---|---|
| Synonyms | L-Lysine, N6-(2,4-Dinitrophenyl)-L-Lysyl-L-Lysyl-L-Lysyl-L-Lysyl-L-Lysyl-N6-(2,4-Dinitrophenyl)-L-Lysyl-L-Lysyl-L-Lysyl-L-Lysyl-L-Lysyl-N6-(2,4-Dinitrophenyl)-L-Lysyl-L-Lysyl-L-Lysyl-L-Lysyl-L-Lysyl-N6-(2,4-Dinitrophenyl)-; T-Dnp-Lys |
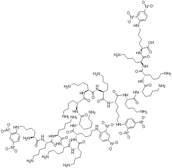
| Molecular Structure | ![]() |
| Molecular Formula | C120H202N40O33 |
| Molecular Weight | 2733.16 |
| CAS Registry Number | 80462-89-1 |
| SMILES | [C@@H](N)(C(=O)N[C@H](C(=O)N[C@H](C(=O)N[C@H](C(=O)N[C@H](C(N[C@H](C(=O)N[C@H](C(=O)N[C@H](C(=O)N[C@H](C(=O)N[C@H](C(N[C@H](C(=O)N[C@H](C(=O)N[C@H](C(=O)N[C@H](C(=O)N[C@H](C(N[C@H](C(=O)O)CCCCNC1=CC=C(C=C1[N+]([O-])=O)[N+]([O-])=O)=O)CCCCN)CCCCN)CCCCN)CCCCN)CCCCNC2=CC=C(C=C2[N+]([O-])=O)[N+]([O-])=O)=O)CCCCN)CCCCN)CCCCN)CCCCN)CCCCNC3=CC=C(C=C3[N+]([O-])=O)[N+]([O-])=O)=O)CCCCN)CCCCN)CCCCN)CCCCN)CCCCNC4=C(C=C(C=C4)[N+]([O-])=O)[N+]([O-])=O |
| InChI | 1S/C120H202N40O33/c121-57-17-1-34-86(138-105(161)81(133)33-13-29-69-134-82-53-49-77(153(178)179)73-101(82)157(186)187)106(162)139-87(35-2-18-58-122)107(163)140-88(36-3-19-59-123)110(166)145-95(43-10-26-66-130)115(171)150-98(46-14-30-70-135-83-54-50-78(154(180)181)74-102(83)158(188)189)117(173)147-92(40-7-23-63-127)112(168)142-89(37-4-20-60-124)108(164)141-91(39-6-22-62-126)111(167)146-96(44-11-27-67-131)116(172)151-99(47-15-31-71-136-84-55-51-79(155(182)183)75-103(84)159(190)191)118(174)148-93(41-8-24-64-128)113(169)143-90(38-5-21-61-125)109(165)144-94(42-9-25-65-129)114(170)149-97(45-12-28-68-132)119(175)152-100(120(176)177)48-16-32-72-137-85-56-52-80(156(184)185)76-104(85)160(192)193/h49-56,73-76,81,86-100,134-137H,1-48,57-72,121-133H2,(H,138,161)(H,139,162)(H,140,163)(H,141,164)(H,142,168)(H,143,169)(H,144,165)(H,145,166)(H,146,167)(H,147,173)(H,148,174)(H,149,170)(H,150,171)(H,151,172)(H,152,175)(H,176,177)/t81-,86-,87-,88-,89-,90-,91-,92-,93-,94-,95-,96-,97-,98-,99-,100-/m0/s1 |
| InChIKey | PUBCJGNWHWWUII-CTABEOKVSA-N |
| Market Analysis Reports |