Online Database of Chemicals from Around the World

N-(2,4,6-Trinitrophenyl-6-N-Aminocaproyl)-1,2-Dipalmitoylphosphatidylethanolamine
[CAS 81497-26-9]

Suppliers
CAS#: 81497-26-9
Product: N-(2,4,6-Trinitrophenyl-6-N-Aminocaproyl)-1,2-Dipalmitoylphosphatidylethanolamine
No suppilers available for the product.
Identification
Name N-(2,4,6-Trinitrophenyl-6-N-Aminocaproyl)-1,2-Dipalmitoylphosphatidylethanolamine
Synonyms [1-(Hexadecanoyloxymethyl)-2-[Hydroxy-[2-[6-[(2,4,6-Trinitrophenyl)Amino]Hexanoylamino]Ethoxy]Phosphoryl]Oxy-Ethyl] Hexadecanoate; Hexadecanoic Acid [1-[[Hydroxy-[2-[[1-Oxo-6-[(2,4,6-Trinitrophenyl)Amino]Hexyl]Amino]Ethoxy]Phosphoryl]Oxymethyl]-2-(1-Oxohexadecoxy)Ethyl] Ester; Palmitic Acid [1-(Hexadecanoyloxymethyl)-2-[Hydroxy-[2-[6-[(2,4,6-Trinitrophenyl)Amino]Hexanoylamino]Ethoxy]Phosphoryl]Oxy-Ethyl] Ester
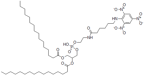
Molecular Structure CAS#: 81497-26-9, N-(2,4,6-Trinitrophenyl-6-N-Aminocaproyl)-1,2-Dipalmitoylphosphatidylethanolamine
Molecular Formula C49H86N5O15P
Molecular Weight 1016.22
CAS Registry Number 81497-26-9
SMILES C1=C(C(=C(C=C1[N+](=O)[O-])[N+](=O)[O-])NCCCCCC(NCCO[P](OCC(COC(CCCCCCCCCCCCCCC)=O)OC(CCCCCCCCCCCCCCC)=O)(O)=O)=O)[N+](=O)[O-]
InChI 1S/C49H86N5O15P/c1-3-5-7-9-11-13-15-17-19-21-23-25-29-33-47(56)66-40-43(69-48(57)34-30-26-24-22-20-18-16-14-12-10-8-6-4-2)41-68-70(64,65)67-37-36-50-46(55)32-28-27-31-35-51-49-44(53(60)61)38-42(52(58)59)39-45(49)54(62)63/h38-39,43,51H,3-37,40-41H2,1-2H3,(H,50,55)(H,64,65)
InChIKey IMRNWYZISVDRJS-UHFFFAOYSA-N
Properties
Density 1.148g/cm3 (Cal.)
Market Analysis Reports
Related Products
1,3,8-Trinitron...  Trinitronaphtha...  1,6,7-Trinitron...  2,4,6-Trinitro-...  2,4,6-Trinitro-...  2,4,7-Trinitrop...  2,3,6-Trinitrop...  2,4,6-Trinitrop...  2,4,6-Trinitrop...  2,4,6-Trinitro-...  Trinitrophenyla...  Trinitrophenyla...  (2S)-2-[(2,4,6-...  3-[(2,4,6-Trini...  1-[(2,4,6-Trini...  2',3'-O-(2,4,6-...  N-(2,4,6-Trinit...  1,3,5-Trinitro-...  2,4,6-Trinitrop...  2,4,6-Trinitrop...