Online Database of Chemicals from Around the World

Iodo-Tyr(1)-Somatostatin
[CAS 82599-24-4]

Suppliers
CAS#: 82599-24-4
Product: Iodo-Tyr(1)-Somatostatin
No suppilers available for the product.
Identification
Name Iodo-Tyr(1)-Somatostatin
Synonyms 1-Iodotyrosine-Somatostatin; Somatostatin, 1-(3-(Iodo-125I)-L-Tyrosine)-; Somatostatin, Iodo-Tyr(1)-
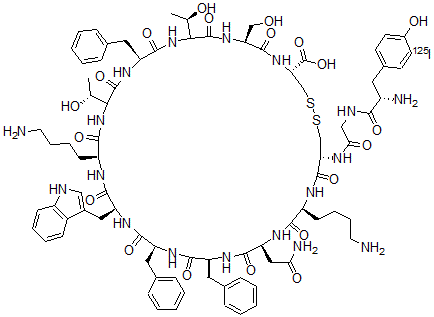
Molecular Structure CAS#: 82599-24-4, Iodo-Tyr(1)-Somatostatin
Molecular Formula C82H107IN18O20S2
Molecular Weight 1855.88
CAS Registry Number 82599-24-4
SMILES [C@H]3(CCCCN)C(N[C@@H](CC(=O)N)C(=O)N[C@H](C(=O)N[C@H](C(=O)N[C@@H](CC1=C[NH]C2=C1C=CC=C2)C(N[C@H](C(=O)NC(C(=O)N[C@H](C(NC(C(=O)N[C@H](C(N[C@@H](CSSC[C@@H](C(=O)N3)NC(CNC(=O)[C@H](CC4=CC=C(C(=C4)[125I])O)N)=O)C(=O)O)=O)CO)[C@H](O)C)=O)CC5=CC=CC=C5)[C@H](O)C)CCCCN)=O)CC6=CC=CC=C6)CC7=CC=CC=C7)=O
InChI 1S/C82H107IN18O20S2/c1-44(103)68-80(118)97-59(36-48-22-10-5-11-23-48)77(115)101-69(45(2)104)81(119)98-62(41-102)78(116)99-64(82(120)121)43-123-122-42-63(90-67(107)40-89-70(108)53(86)33-49-28-29-65(105)52(83)32-49)79(117)92-55(26-14-16-30-84)71(109)96-61(38-66(87)106)76(114)94-57(34-46-18-6-3-7-19-46)73(111)93-58(35-47-20-8-4-9-21-47)74(112)95-60(37-50-39-88-54-25-13-12-24-51(50)54)75(113)91-56(72(110)100-68)27-15-17-31-85/h3-13,18-25,28-29,32,39,44-45,53,55-64,68-69,88,102-105H,14-17,26-27,30-31,33-38,40-43,84-86H2,1-2H3,(H2,87,106)(H,89,108)(H,90,107)(H,91,113)(H,92,117)(H,93,111)(H,94,114)(H,95,112)(H,96,109)(H,97,118)(H,98,119)(H,99,116)(H,100,110)(H,101,115)(H,120,121)/t44-,45-,53+,55+,56+,57+,58+,59+,60+,61+,62+,63+,64+,68?,69?/m1/s1/i83-2
InChIKey BDQVALHNADALIA-ZYYPTIMHSA-N
Market Analysis Reports
Related Products
2-Iodo-1-trityl...  4-Iodo-1-trityl...  5-Iodotubercidi...  3-(131I)Iodo-L-...  3-Iodo-D-tyrosi...  3-Iodo-L-tyrosi...  2-Iodo-L-tyrosi...  3-Iodo-L-tyrosi...  3-Iodo-L-Tyrosi...  Iodotyrosyl-pro...  1-Iodoundecane;...  6-{[(10E)-11-Io...  6-Iodouracil;6-...  5-Iodouracil;2,...  5-Iodouridine  6-Iodo-uridine  5-Iodo-Uridine-...  5-Iodovanillin;...  5-Iodo-O-Vanill...  17 alpha-Iodovi...