Online Database of Chemicals from Around the World

20-Carboxy-Leukotriene B4
[CAS 83861-61-4]

Suppliers
CAS#: 83861-61-4
Product: 20-Carboxy-Leukotriene B4
No suppilers available for the product.
Identification
Name 20-Carboxy-Leukotriene B4
Synonyms 20-Cooh Ltb4; 6,8,10,14-Heneicosatetraenedioic Acid, 5,12-Dihydroxy-, (S-(R*,S*-(E,Z,E,Z)))-
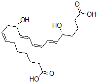
Molecular Structure CAS#: 83861-61-4, 20-Carboxy-Leukotriene B4
Molecular Formula C21H32O6
Molecular Weight 380.48
CAS Registry Number 83861-61-4
SMILES [C@@H](O)(CCCC(=O)O)\C=C\C=C/C=C/[C@@H](O)C\C=C/CCCCCC(=O)O
InChI 1S/C21H32O6/c22-18(12-7-3-1-2-4-10-16-20(24)25)13-8-5-6-9-14-19(23)15-11-17-21(26)27/h3,5-9,13-14,18-19,22-23H,1-2,4,10-12,15-17H2,(H,24,25)(H,26,27)/b6-5-,7-3-,13-8+,14-9+/t18-,19-/m0/s1
InChIKey OWRZLPFARZIZOG-KRWIEDKISA-N
Properties
Density 1.137g/cm3 (Cal.)
Boiling point 635.064°C at 760 mmHg (Cal.)
Flash point 351.879°C (Cal.)
Market Analysis Reports
Related Products
1-(2-Carboxylat...  3-Carboxylato-1...  3-Carboxylato-1...  2-[[3-(Carboxyl...  2-[Carboxylatom...  (Carboxylatomet...  1-(Carboxylatom...  5-(5-Carboxylat...  4-Carboxylbenzo...  20-Carboxy-Leuk...  I-BET762 carbox...  K 76 Carboxylic...  3-N-Carboxylic ...  3-Carboxylic Ac...  Carboxylic Acid...  Carboxylic Acid...  2-carboxyl malo...  4-Carboxylpheny...  6-Carboxyl-4-Ph...  6-Carboxyl-4-ph...