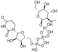
Identification
| Name |
Uridine 5'-(trihydrogen diphosphate), mono(2-deoxy-2-(methylamino)-O-phosphono-alpha-D-glucopyranosyl) ester |
| Synonyms |
[(2R,3R,4R,5S,6R)-4,5-Dihydroxy-6-(Hydroxymethyl)-3-Methylamino-Tetrahydropyran-2-Yl] [[[(2R,3S,4R,5R)-5-(2,4-Dioxopyrimidin-1-Yl)-3,4-Dihydroxy-Tetrahydrofuran-2-Yl]Methoxy-Hydroxy-Phosphoryl]Oxy-Hydroxy-Phosphoryl] Hydrogen Phosphate; [(2R,3R,4R,5S,6R)-4,5-Dihydroxy-6-(Hydroxymethyl)-3-Methylamino-2-Tetrahydropyranyl] [[[(2R,3S,4R,5R)-5-(2,4-Dioxo-1-Pyrimidinyl)-3,4-Dihydroxy-2-Tetrahydrofuranyl]Methoxy-Hydroxyphosphoryl]Oxy-Hydroxyphosphoryl] Hydrogen Phosphate; [(2R,3R,4R,5S,6R)-4,5-Dihydroxy-3-Methylamino-6-Methylol-Tetrahydropyran-2-Yl] [[[(2R,3S,4R,5R)-5-(2,4-Diketopyrimidin-1-Yl)-3,4-Dihydroxy-Tetrahydrofuran-2-Yl]Methoxy-Hydroxy-Phosphoryl]Oxy-Hydroxy-Phosphoryl] Hydrogen Phosphate |
|
| Molecular Structure |
 |
| Molecular Formula |
C16H28N3O19P3 |
| Molecular Weight |
659.33 |
| CAS Registry Number |
84283-22-7 |
| SMILES |
[C@H]1(O[C@@H]([C@@H](O)[C@H]1O)CO[P](O[P](O[P](O[C@H]2O[C@@H]([C@@H](O)[C@H](O)[C@H]2NC)CO)(=O)O)(=O)O)(=O)O)N3C(=O)NC(=O)C=C3 |
| InChI |
1S/C16H28N3O19P3/c1-17-9-12(24)10(22)6(4-20)35-15(9)36-40(29,30)38-41(31,32)37-39(27,28)33-5-7-11(23)13(25)14(34-7)19-3-2-8(21)18-16(19)26/h2-3,6-7,9-15,17,20,22-25H,4-5H2,1H3,(H,27,28)(H,29,30)(H,31,32)(H,18,21,26)/t6-,7-,9-,10-,11-,12-,13-,14-,15-/m1/s1 |
| InChIKey |
OUWZLYJTYORJQX-SQIQDKGHSA-N |
|