Online Database of Chemicals from Around the World

1-Palmitoyl-2-(4-Doxylpentanoyl)Glycerophosphocholine
[CAS 85284-79-3]

Suppliers
CAS#: 85284-79-3
Product: 1-Palmitoyl-2-(4-Doxylpentanoyl)Glycerophosphocholine
No suppilers available for the product.
Identification
Name 1-Palmitoyl-2-(4-Doxylpentanoyl)Glycerophosphocholine
Synonyms Pam(Dox)Gropcho; 1-Palmitoyl-2-(4-Doxylpentanoyl)Glycerophosphocholine
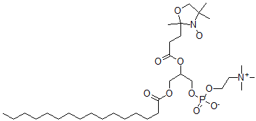
Molecular Structure CAS#: 85284-79-3, 1-Palmitoyl-2-(4-Doxylpentanoyl)Glycerophosphocholine
Molecular Formula C33H64N2O10P
Molecular Weight 679.85
CAS Registry Number 85284-79-3
SMILES [O]N1C(OCC1(C)C)(CCC(OC(CO[P](OCC[N+](C)(C)C)([O-])=O)COC(=O)CCCCCCCCCCCCCCC)=O)C
InChI 1S/C33H64N2O10P/c1-8-9-10-11-12-13-14-15-16-17-18-19-20-21-30(36)41-26-29(27-44-46(39,40)43-25-24-35(5,6)7)45-31(37)22-23-33(4)34(38)32(2,3)28-42-33/h29H,8-28H2,1-7H3
InChIKey UZZUJYKFTSELRF-UHFFFAOYSA-N
Market Analysis Reports
Related Products
N-Palmitoylcyst...  Palmitoyl(3)-cy...  Palmitoyl(3)-Cy...  N(4)-Palmitoyl ...  N-Palmitoyldaun...  1-Palmitoyl-2-o...  N-Palmitoyl-DL-...  Palmitoyl Dihyd...  N-Palmitoyl-5,6...  1-Palmitoyl-2-D...  Palmitoyleicosa...  1-Palmitoyl-2-(...  Palmitoylethano...  Palmitoyl-(1,N(...  5'-O-Palmitoyl-...  3-O-Palmitoyl-b...  3-O-(6'-O-Palmi...  Palmitoyl Gluta...  N-Palmitoylglut...  Palmitoylhomocy...