Online Database of Chemicals from Around the World

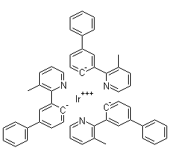
Tris[3-(3-methyl-2-pyridinyl)[1,1'-biphenyl]-4-yl]-iridium
[CAS 861144-71-0]

List of Suppliers
Wuhan Hsenbruy Chemical Co., Ltd. China
www.hsenchem.com
+86 (27) 5935-3221
5935-3222
+86 (27) 5935-3223
hsenchem@163.com
QQ Chat
Chemical manufacturer
chemBlink Standard supplier since 2012

Identification
ClassificationOrganic raw materials >> Aryl compounds >> Biphenyl compounds
NameTris[3-(3-methyl-2-pyridinyl)[1,1'-biphenyl]-4-yl]-iridium
Molecular StructureTris[3-(3-methyl-2-pyridinyl)[1,1'-biphenyl]-4-yl]-iridium molecular structure (CAS 861144-71-0)
Molecular FormulaC54H42IrN3
Molecular Weight925.15
CAS Registry Number861144-71-0
Safety Data
SDSAvailable
Market Analysis Reports
Related Products
Tris(2-Methyl-2...  N,N',N''-Tris(2...  1,3,5-Tris[(2-M...  1,3,5-Tris(2-me...  Tris(2-Methylpr...  Tris(2-Methylpr...  N,N,N'-Tris(1-M...  Tris(2-Methylpr...  1,3,5-Tris[6-[[...  Tris[3-(4-methy...  (OC-6-22)-Tris[...  Tris[2-(3-methy...  Tris(methylsela...  Tris[(<Sup>2</S...  [Tris(Methylsul...  1,3,5-Tris(2-Me...  [2,2,6-Tris(Met...  Tris(Methylthio...  Tris[4-(Methylt...  Tris(Methylthio...