|
CAS#: 87478-71-5 Product: 2-Propanaminium nitrate No suppilers available for the product. |
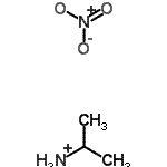
| Name | 2-Propanaminium nitrate |
|---|---|
| Synonyms | isopropylammonium nitrate |
| Molecular Structure | ![]() |
| Molecular Formula | C3H10N2O3 |
| Molecular Weight | 122.12 |
| CAS Registry Number | 87478-71-5 |
| EINECS | 289-318-0 |
| SMILES | [O-][N+]([O-])=O.[NH3+]C(C)C |
| InChI | 1S/C3H9N.NO3/c1-3(2)4;2-1(3)4/h3H,4H2,1-2H3;/q;-1/p+1 |
| InChIKey | NEOKMOMGZMVNQQ-UHFFFAOYSA-O |
| Boiling point | 30.9°C at 760 mmHg (Cal.) |
|---|---|
| Market Analysis Reports |