Online Database of Chemicals from Around the World

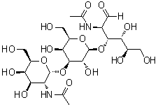
O-2-Acetamido-2-deoxy-alpha-D-galactosyl-(1 → 3)-O-beta-D-galactosyl-(1 → 3)-2-acetamido-2-deoxy-D-glucose
[CAS 886750-14-7]

List of Suppliers
Carbosynth China Ltd. China
www.carbosynth.cn
+86 (512) 6260-5585
+86 (512) 6260-5576
sales@carbosynth.com
QQ Chat
Chemical manufacturer since 2006
chemBlink Standard supplier since 2016

Identification
NameO-2-Acetamido-2-deoxy-alpha-D-galactosyl-(1 → 3)-O-beta-D-galactosyl-(1 → 3)-2-acetamido-2-deoxy-D-glucose
Molecular StructureO-2-Acetamido-2-deoxy-alpha-D-galactosyl-(1 → 3)-O-beta-D-galactosyl-(1 → 3)-2-acetamido-2-deoxy-D-glucose molecular structure (CAS 886750-14-7)
Molecular FormulaC22H38N2O16
Molecular Weight586.54
CAS Registry Number886750-14-7
Properties
SolubilitySoluble (65 g/L) (25 °C), Calc.*
Density1.60±0.1 g/cm3 (20 °C 760 Torr), Calc.*
*Calculated using Advanced Chemistry Development (ACD/Labs) Software V11.02 (©1994-2016 ACD/Labs)
Market Analysis Reports
Related Products
Acetaldehyde Me...  Acetaldehyde Me...  Acetaldehyde O-...  8-Acetaldehyde ...  Acetaldehyde 2-...  Acetaldehyde-O-...  Acetaldehyde ph...  Acetaldehyde Se...  Acetaldophospha...  Acetaldoxime  Acetamide, [15N...  Acetamide-D5  Acetamide  Acetamide-13C2  Acetamide Baric...  Acetamide-2,2,2...  ACETAMIDE,2,2-D...  Acetamide,2-(di...  Acetamide, N-(1...  ACETAMIDE, N-[(...