|
CAS#: 89756-57-0 Product: 2-Deoxy-4-O-phosphono-3-O-tetradecanoyl-2-{[3-(tetradecanoyloxy)tetradecanoyl]amino}-D-glucose No suppilers available for the product. |
| Name | 2-Deoxy-4-O-phosphono-3-O-tetradecanoyl-2-{[3-(tetradecanoyloxy)tetradecanoyl]amino}-D-glucose |
|---|---|
| Synonyms | 2-Deoxy-4 |
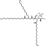
| Molecular Structure | ![]() |
| Molecular Formula | C48H92NO12P |
| Molecular Weight | 906.22 |
| CAS Registry Number | 89756-57-0 |
| SMILES | O=C(OC(CCCCCCCCCCC)CC(=O)N[C@@H](C=O)[C@@H](OC(=O)CCCCCCCCCCCCC)[C@H](OP(=O)(O)O)[C@H](O)CO)CCCCCCCCCCCCC |
| InChI | 1S/C48H92NO12P/c1-4-7-10-13-16-19-21-24-27-30-33-36-45(54)59-41(35-32-29-26-23-18-15-12-9-6-3)38-44(53)49-42(39-50)47(48(43(52)40-51)61-62(56,57)58)60-46(55)37-34-31-28-25-22-20-17-14-11-8-5-2/h39,41-43,47-48,51-52H,4-38,40H2,1-3H3,(H,49,53)(H2,56,57,58)/t41?,42-,43+,47+,48+/m0/s1 |
| InChIKey | SOZNVTRORYUXFD-NPIQVXMPSA-N |
| Density | 1.062g/cm3 (Cal.) |
|---|---|
| Market Analysis Reports |