Online Database of Chemicals from Around the World

Priolube 370
[CAS 91050-89-4]

List of Suppliers
Simagchem Corporation China
www.simagchem.com
+86 13806087780
+86 (592) 268-0237
sale@simagchem.com
Chemical manufacturer since 2002
chemBlink Standard supplier since 2008
BOC Sciences USA
www.bocsci.com
+1 (631) 485-4226
+1 (631) 614-7828
info@bocsci.com
Chemical manufacturer
chemBlink Standard supplier since 2010
Nanjing HZC Chemical Trading Co., Ltd. China
www.njhzc.com
+86 (25) 8773-7352
+86 (25) 8773-7352
njhzchem@gmail.com
Chemical distributor
chemBlink Standard supplier since 2011

Identification
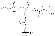
NamePriolube 370
SynonymsPriolube 3970; Fatty acids C8-10 triesters with trimethylolpropane
Molecular StructurePriolube 370 molecular structure (CAS 91050-89-4)
CAS Registry Number91050-89-4
EC Number293-036-3
Market Analysis Reports
Related Products
Primulasaponin ...  Primulaverin  Primuline  Primycin sulfat...  Prinaberel  Prinactizide  Prinomastat  Prinomide  Prinomide triet...  Prinoxodan  Prionidipene A  Prionitin  Prionoid B  Prionoid C  Prionoid D  Prionoid E  106-126-Prion p...  Prismane  Prisotinol  Pristimerin