Online Database of Chemicals from Around the World

Imipenem-Cilastatin sodium hydrate
[CAS 92309-29-0]

List of Suppliers
Choriway International Trade Co., Ltd. China
www.choriway.com
+86 (510) 8260-6408
+86 (510) 8270-0244
sales@choriway.com
Chemical distributor
chemBlink Standard supplier since 2007
Simagchem Corporation China
www.simagchem.com
+86 13806087780
+86 (592) 268-0237
sale@simagchem.com
Chemical manufacturer since 2002
chemBlink Standard supplier since 2008
Hangzhou Neway Chemicals Co., Ltd. China
www.nwchemical.com
+86 (571) 8509-5566
+86 (571) 8509-5522
sales@nwchemical.com
Chemical manufacturer
chemBlink Standard supplier since 2011

Identification
ClassificationAPI >> Antibiotics >> Beta-lactamase inhibitor
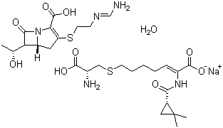
NameImipenem-Cilastatin sodium hydrate
SynonymsSodium (Z)-7-[(2R)-2-amino-3-hydroxy-3-oxopropyl]sulfanyl-2-[[(1S)-2,2-dimethylcyclopropanecarbonyl]amino]hept-2-enoate (5R,6S)-3-[2-(aminomethylideneamino)ethylsulfanyl]-6-(1-hydroxyethyl)-7-oxo-1-azabicyclo[3.2.0]hept-2-ene-2-carboxylic acid hydrate
Molecular StructureImipenem-Cilastatin sodium hydrate molecular structure (CAS 92309-29-0)
Molecular FormulaC12H17N3O4S.C16H25N2NaO5S.H2O
Molecular Weight697.80
CAS Registry Number92309-29-0
Market Analysis Reports
Related Products
(3E)-4-(2-Imino...  2-Iminothiolane...  2-Imino-4,5,5-T...  2-Imino-N,1,6-t...  Imino-Tri(Pheny...  Imino-tris(dime...  Iminotris(dimet...  Imipenem  Imipenem  Imipenem  Imipenem EP Imp...  Imipramine  Imipramine-d3  Imipramine N-be...  Imipramine hydr...  Imipramine N-Ox...  Imipramine pamo...  Imiprothrin  Imiquimod  Imirestat