Online Database of Chemicals from Around the World

2-Cyclopropyl-4-pentyn-2-yl carbamoylcarbamate
[CAS 93882-81-6]

Suppliers
Atomax Chemicals Co., Ltd. China
+86 13417589054/
info@atomaxchem.com,atomax.chemicals@gmail.com
QQ Chat
Chemical manufacturer
Identification
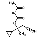
Name 2-Cyclopropyl-4-pentyn-2-yl carbamoylcarbamate
Molecular Structure CAS#: 93882-81-6, 2-Cyclopropyl-4-pentyn-2-yl carbamoylcarbamate
Molecular Formula C10H14N2O3
Molecular Weight 210.23
CAS Registry Number 93882-81-6
SMILES CC(CC#C)(C1CC1)OC(=O)NC(=O)N
InChI 1S/C10H14N2O3/c1-3-6-10(2,7-4-5-7)15-9(14)12-8(11)13/h1,7H,4-6H2,2H3,(H3,11,12,13,14)
InChIKey MRJXZGDNGANHFH-UHFFFAOYSA-N
Properties
Density 1.267g/cm3 (Cal.)
Market Analysis Reports
Related Products
1-(Cyclopropylo...  1-Cyclopropylox...  3-(Cyclopropylo...  4-(Cyclopropylo...  2-Cyclopropylox...  1-Cyclopropylpe...  4-Cyclopropyl-2...  1-Cyclopropyl-1...  2-Cyclopropyl-2...  2-Cyclopropyl-4...  2-Cyclopropylph...  4-Cyclopropylph...  3-Cyclopropylph...  3-(2-Cyclopropy...  2-(2-Cyclopropy...  1-(4-Cyclopropy...  4-Cyclopropylph...  4-(Cyclopropyl)...  4-Cyclopropyl-2...  1-Cyclopropyl-2...