Online Database of Chemicals from Around the World

Guanidylfungin A
[CAS 94116-22-0]

Suppliers
CAS#: 94116-22-0
Product: Guanidylfungin A
No suppilers available for the product.
Identification
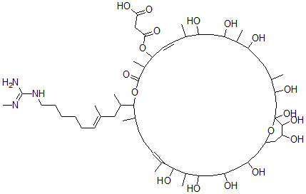
Name Guanidylfungin A
Synonyms 3-[[(13E,23E)-19-[(E)-1,3-Dimethyl-9-[(N'-Methylcarbamimidoyl)Amino]Non-3-Enyl]-1,3,7,9,11,25,27,29,31,35,36-Undecahydroxy-4,8,12,16,20,24,26-Heptamethyl-17-Oxo-18,37-Dioxabicyclo[31.3.1]Heptatriaconta-13,23-Dien-15-Yl]Oxy]-3-Oxo-Propanoic Acid; 3-[[(13E,2
Molecular Structure CAS#: 94116-22-0, Guanidylfungin A
Molecular Formula C58H103N3O18
Molecular Weight 1130.46
CAS Registry Number 94116-22-0
SMILES C(C(C2OC(=O)C(C(OC(=O)CC(O)=O)/C=C/C(C(O)CC(O)C(C(O)CCC(C(O)CC1(OC(CC(O)C1O)CC(O)CC(O)CC(O)C(C(O)C(=C/CCC2C)/C)C)O)C)C)C)C)C)\C(=C\CCCCCNC(N)=NC)C
InChI 1S/C58H103N3O18/c1-32(16-13-11-12-14-23-61-57(59)60-10)24-37(6)54-36(5)18-15-17-35(4)53(73)39(8)46(66)27-42(63)25-41(62)26-43-28-48(68)55(74)58(76,79-43)31-49(69)34(3)19-21-44(64)38(7)47(67)29-45(65)33(2)20-22-50(40(9)56(75)78-54)77-52(72)30-51(70)71/h16-
InChIKey XORCVXSQCSUFAJ-SMBLPHJASA-N
Properties
Density 1.275g/cm3 (Cal.)
Boiling point 1186.895°C at 760 mmHg (Cal.)
Flash point 671.61°C (Cal.)
Market Analysis Reports
Related Products
2-Guanidinoprop...  Guanidino Propy...  4-[6-(Guanidino...  Guanidinospermi...  Guanidinosuccin...  (S)-((2-Guanidi...  3-(2-Guanidino-...  S-[(2-Guanidino...  delta-Guanidino...  2'-Guanidyl-2'-...  Guanidylfungin ...  N(alpha)-Guanil...  Guanine;2-Amino...  Guanine Hydroch...  Guanine hydroch...  Guanine Oxime;1...  Guanine sulfate...  N-(Guanin-8-Yl)...  N-(Guanin-8-Yl)...  Guanisoquin sul...