Online Database of Chemicals from Around the World

1-[[4-[[4-[bis[2-hydroxy-3-[4-[1-methyl-1-[4-(oxiran-2-ylmethoxy)phenyl]ethyl]phenoxy]propyl]amino]phenyl]methyl]phenyl]-[2-hydroxy-3-[4-[1-methyl-1-[4-(oxiran-2-ylmethoxy)phenyl]ethyl]phenoxy]propyl]amino]-3-[4-[1-methyl-1-[4-(oxiran-2-ylmethoxy)phenyl]ethyl]phenoxy]propan-2-ol
[CAS 97552-64-2]

Suppliers
CAS#: 97552-64-2
Product: 1-[[4-[[4-[bis[2-hydroxy-3-[4-[1-methyl-1-[4-(oxiran-2-ylmethoxy)phenyl]ethyl]phenoxy]propyl]amino]phenyl]methyl]phenyl]-[2-hydroxy-3-[4-[1-methyl-1-[4-(oxiran-2-ylmethoxy)phenyl]ethyl]phenoxy]propyl]amino]-3-[4-[1-methyl-1-[4-(oxiran-2-ylmethoxy)phenyl]ethyl]phenoxy]propan-2-ol
No suppilers available for the product.
Identification
Name 1-[[4-[[4-[bis[2-hydroxy-3-[4-[1-methyl-1-[4-(oxiran-2-ylmethoxy)phenyl]ethyl]phenoxy]propyl]amino]phenyl]methyl]phenyl]-[2-hydroxy-3-[4-[1-methyl-1-[4-(oxiran-2-ylmethoxy)phenyl]ethyl]phenoxy]propyl]amino]-3-[4-[1-methyl-1-[4-(oxiran-2-ylmethoxy)phenyl]ethyl]phenoxy]propan-2-ol
Synonyms 1,1',1'',1'''-[methylenebis(p-phenylenenitrilo)]tetrakis[3-[4-[1-methyl-1-[4-(oxiranylmethoxy)phenyl]ethyl]phenoxy]propan-2-ol]
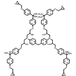
Molecular Structure CAS#: 97552-64-2, 1-[[4-[[4-[bis[2-hydroxy-3-[4-[1-methyl-1-[4-(oxiran-2-ylmethoxy)phenyl]ethyl]phenoxy]propyl]amino]phenyl]methyl]phenyl]-[2-hydroxy-3-[4-[1-methyl-1-[4-(oxiran-2-ylmethoxy)phenyl]ethyl]phenoxy]propyl]amino]-3-[4-[1-methyl-1-[4-(oxiran-2-ylmethoxy)phenyl]ethyl]phenoxy]propan-2-ol
Molecular Formula C97H110N2O16
Molecular Weight 1559.92
CAS Registry Number 97552-64-2
EINECS 307-117-9
SMILES CC(C)(c1ccc(cc1)OCC(O)CN(CC(O)COc2ccc(cc2)C(C)(C)c3ccc(cc3)OCC4CO4)c5ccc(cc5)Cc6ccc(cc6)N(CC(O)COc7ccc(cc7)C(C)(C)c9ccc(OCC8CO8)cc9)CC(O)COc%10ccc(cc%10)C(C)(C)c%12ccc(OCC%11CO%11)cc%12)c%14ccc(OCC%13CO%13)cc%14
InChI 1S/C97H110N2O16/c1-94(2,72-21-41-86(42-22-72)108-58-90-62-112-90)68-13-33-82(34-14-68)104-54-78(100)50-98(51-79(101)55-105-83-35-15-69(16-36-83)95(3,4)73-23-43-87(44-24-73)109-59-91-63-113-91)76-29-9-66(10-30-76)49-67-11-31-77(32-12-67)99(52-80(102)56-106-84-37-17-70(18-38-84)96(5,6)74-25-45-88(46-26-74)110-60-92-64-114-92)53-81(103)57-107-85-39-19-71(20-40-85)97(7,8)75-27-47-89(48-28-75)111-61-93-65-115-93/h9-48,78-81,90-93,100-103H,49-65H2,1-8H3
InChIKey WIMBSVAMVGTRRO-UHFFFAOYSA-N
Properties
Density 1.226g/cm3 (Cal.)
Market Analysis Reports
Related Products
3,6-Bis(Hydroxy...  [4,5-Bis(Hydrox...  2,3-Bis(Hydroxy...  2,3-Bis(Hydroxy...  2,6-Bis(Hydroxy...  2,2-Bis(hydroxy...  N,N-Bis(Hydroxy...  N-(1,1-Bis(hydr...  (3S,4R,5S,6R)-2...  [2-[1-[[4,4-bis...  3-(5,5-Bis-Hydr...  4-(5,5-Bis-Hydr...  Bis(Hydroxymeth...  3,5-Bis(Hydroxy...  N,N'-Bis(2-Hydr...  9,9-Bis(4-hydro...  2,6-Bis[(2-Hydr...  Bis(Hydroxymeth...  2,2-Bis(4-hydro...  Bis(4-hydroxy-3...