Online Database of Chemicals from Around the World

3-(2-Pyridyldithio)Propionyl-Polyglutamic Acid
[CAS 98167-04-5]

Suppliers
CAS#: 98167-04-5
Product: 3-(2-Pyridyldithio)Propionyl-Polyglutamic Acid
No suppilers available for the product.
Identification
Name 3-(2-Pyridyldithio)Propionyl-Polyglutamic Acid
Synonyms 2-[3-(2-Pyridyldisulfanyl)Propanoylamino]Pentanedioic Acid; 2-[[1-Oxo-3-(2-Pyridyldisulfanyl)Propyl]Amino]Pentanedioic Acid; 2-[3-(2-Pyridyldisulfanyl)Propanoylamino]Glutaric Acid
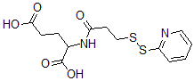
Molecular Structure CAS#: 98167-04-5, 3-(2-Pyridyldithio)Propionyl-Polyglutamic Acid
Molecular Formula C13H16N2O5S2
Molecular Weight 344.40
CAS Registry Number 98167-04-5
SMILES C1=CC=CC(=N1)SSCCC(NC(C(O)=O)CCC(O)=O)=O
InChI 1S/C13H16N2O5S2/c16-10(15-9(13(19)20)4-5-12(17)18)6-8-21-22-11-3-1-2-7-14-11/h1-3,7,9H,4-6,8H2,(H,15,16)(H,17,18)(H,19,20)
InChIKey SAZQBBVMRRIGNV-UHFFFAOYSA-N
Properties
Density 1.457g/cm3 (Cal.)
Boiling point 648.477°C at 760 mmHg (Cal.)
Flash point 345.987°C (Cal.)
Market Analysis Reports
Related Products
N-(4-Pyridyl)-3...  1-(3-Pyridyl)-3...  1-(3-Pyridyl)-3...  trans-2-(4-Pyri...  3-(2'-Pyridyldi...  4-(2'-Pyridyldi...  4-Pyridyldithio...  2-(2-Pyridyldit...  2-Pyridyldithio...  3-(2-Pyridyldit...  N-(3-(2-Pyridyl...  2-(2-Pyridyl)Et...  2-(2-Pyridyl)et...  (R)-(+)-1-(4-Py...  (S)-(-)-1-(4-Py...  1-(2-Pyridyl)Et...  1-(2-Pyridyl)Et...  [2-(2-Pyridyl)E...  [2-(3-Pyridyl)E...  2-(2-(3-Pyridyl...