Online Database of Chemicals from Around the World

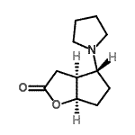
(3aS,4R,6aR)-4-(1-Pyrrolidinyl)hexahydro-2H-cyclopenta[b]furan-2-one
[CAS 98295-71-7]

Suppliers
Atomax Chemicals Co., Ltd. China
+86 13417589054/
info@atomaxchem.com,atomax.chemicals@gmail.com
QQ Chat
Chemical manufacturer
Identification
Name (3aS,4R,6aR)-4-(1-Pyrrolidinyl)hexahydro-2H-cyclopenta[b]furan-2-one
Synonyms (3aS,4R,6aR)-4-(pyrrolidin-1-yl)hexahydro-2H-cyclopenta[b]furan-2-one
Molecular Structure CAS#: 98295-71-7, (3aS,4R,6aR)-4-(1-Pyrrolidinyl)hexahydro-2H-cyclopenta[b]furan-2-one
Molecular Formula C11H17NO2
Molecular Weight 195.26
CAS Registry Number 98295-71-7
SMILES O=C1C[C@H]2[C@@H](CC[C@H]2O1)N3CCCC3
InChI 1S/C11H17NO2/c13-11-7-8-9(3-4-10(8)14-11)12-5-1-2-6-12/h8-10H,1-7H2/t8-,9+,10+/m0/s1
InChIKey XIBYNMWDPLOSIY-IVZWLZJFSA-N
Properties
Density 1.191g/cm3 (Cal.)
Boiling point 339.107°C at 760 mmHg (Cal.)
Flash point 141.468°C (Cal.)
Market Analysis Reports
Related Products
4-(2-Pyrrolidin...  10-[2-(1-Pyrrol...  1-(2-Pyrrolidin...  8-[[2-(1-Pyrrol...  5-[[2-(1-Pyrrol...  5-(2-Pyrrolidin...  3-(1-Pyrrolidin...  1-(1-Pyrrolidin...  2-(1-Pyrrolidin...  (7E,10E)-1-(1-P...  1-(6-(1-Pyrroli...  1-(6-(1-Pyrroli...  1-(1-Pyrrolidin...  (11E,14E)-1-(1-...  3-Pyrrolidin-2-...  5-(2-Pyrrolidin...  1-(3-Pyrrolidin...  5-(1-Pyrrolidin...  2-(2-Pyrrolidin...  alpha-(1-Pyrrol...