Online Database of Chemicals from Around the World

(3S,6S,9R,12S)-6-(4-Aminobutyl)-12-Benzyl-9-Butan-2-Yl-3-[(4-Hydroxyphenyl)Methyl]-1,4,7,10,13,16-Hexazacyclooctadecane-2,5,8,11,14,17-Hexone
[CAS 99764-53-1]

Suppliers
CAS#: 99764-53-1
Product: (3S,6S,9R,12S)-6-(4-Aminobutyl)-12-Benzyl-9-Butan-2-Yl-3-[(4-Hydroxyphenyl)Methyl]-1,4,7,10,13,16-Hexazacyclooctadecane-2,5,8,11,14,17-Hexone
No suppilers available for the product.
Identification
Name (3S,6S,9R,12S)-6-(4-Aminobutyl)-12-Benzyl-9-Butan-2-Yl-3-[(4-Hydroxyphenyl)Methyl]-1,4,7,10,13,16-Hexazacyclooctadecane-2,5,8,11,14,17-Hexone
Synonyms (3S,6S,9R,12S)-6-(4-Aminobutyl)-3-[(4-Hydroxyphenyl)Methyl]-12-(Phenylmethyl)-9-Sec-Butyl-1,4,7,10,13,16-Hexazacyclooctadecane-2,5,8,11,14,17-Hexone; (3S,6S,9R,12S)-6-(4-Aminobutyl)-12-(Benzyl)-3-(4-Hydroxybenzyl)-9-Sec-Butyl-1,4,7,10,13,16-Hexazacycloocta
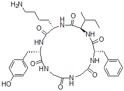
Molecular Structure CAS#: 99764-53-1, (3S,6S,9R,12S)-6-(4-Aminobutyl)-12-Benzyl-9-Butan-2-Yl-3-[(4-Hydroxyphenyl)Methyl]-1,4,7,10,13,16-Hexazacyclooctadecane-2,5,8,11,14,17-Hexone
Molecular Formula C34H47N7O7
Molecular Weight 665.79
CAS Registry Number 99764-53-1
SMILES [C@@H]1(NC(=O)[C@@H](NC(=O)CNC(=O)CNC(=O)[C@@H](NC(=O)[C@@H](NC1=O)CCCCN)CC2=CC=C(O)C=C2)CC3=CC=CC=C3)C(CC)C
InChI 1S/C34H47N7O7/c1-3-21(2)30-34(48)39-25(11-7-8-16-35)32(46)40-26(18-23-12-14-24(42)15-13-23)31(45)37-19-28(43)36-20-29(44)38-27(33(47)41-30)17-22-9-5-4-6-10-22/h4-6,9-10,12-15,21,25-27,30,42H,3,7-8,11,16-20,35H2,1-2H3,(H,36,43)(H,37,45)(H,38,44)(H,39,48)(H
InChIKey STCPTJKVQFCSCB-IAZMYSRMSA-N
Properties
Density 1.163g/cm3 (Cal.)
Boiling point 1124.807°C at 760 mmHg (Cal.)
Flash point 634.06°C (Cal.)
Market Analysis Reports
Related Products
4-(3-Aminobutyl...  3-Amino-N-Butyl...  4-Amino-N-Butyl...  2-Amino-N-Butyl...  (5-Amino-2-buty...  (5-Amino-2-buty...  (5-Amino-2-buty...  (5-Amino-2-buty...  2-Amino-3-Butyl...  3-Amino-4-butyl...  (4R,7S,10S,13R,...  3-(2-Aminobutyl...  N-(4-Aminobutyl...  N-(4-Aminobutyl...  N-(4-Aminobutyl...  (3-Aminobutyl)c...  N-(4-Aminobutyl...  3-Amino-N-(Buty...  N-(4-Aminobutyl...  N-(4-Aminobutyl...