全球化学品在线数据库

三异丙基鏻四氟硼酸盐 化学品安全技术说明书 (CAS 121099-07-8)

本页面提供 三异丙基鏻四氟硼酸盐 (CAS 121099-07-8) 的化学品安全技术说明书 (SDS),包括危险性、急救措施、储存与操作要求等信息。用户可免费下载 SDS 文件用于实验室或工业参考。

产品概述

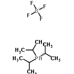
结构式 CAS# 121099-07-8, 三异丙基鏻四氟硼酸盐
产品名称 三异丙基鏻四氟硼酸盐
CAS 登录号 121099-07-8
分子式 C9H22BF4P
分子量 248.05
三异丙基鏻四氟硼酸盐的详细资料
 
资料来源 SDS 样本
Sigma-Aldrich
www.sigmaaldrich.com/catalog/Lookup.do?N5=All&N3=mode+matchpartialmax&N1=S_ID&ST=RS&N25=0&F=PR&D7=0&N4=121099-07-8
浏览或下载

免责声明

本页所列之化学品安全技术说明书样本系 chemBlink 公司搜集的互联网公开信息,仅用于指导化学品安全技术说明书的编辑与制作。chemBlink 竭诚提供可靠信息,然而不承诺其完备与准确。 阅读全文...



常见问题 (FAQ)
什么是 SDS?   如何下载 SDS?   SDS 是否免费?   SDS 和 MSDS 有什么区别?



相关化学品安全技术说明书
5-溴-2-(三氟甲...   1-甲基-1H-咪唑...   (3S)-1-甲基-...   (3R)-1-甲基-...   双(甲基环戊二烯)二...   (2-溴丙基)氨基甲...   ((2S)-2-氨基...   [(1S,6S,7S...   2-氯吩嗪 5-氧化...   1,3-双(二叔丁基...