| 产品概述 | |
| |
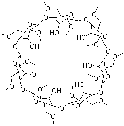
| 产品名称 | 甲基倍他环糊精 |
| CAS 登录号 | 128446-36-6 |
| 分子式 | C56H98O35 |
| 分子量 | 1303.30 |
| 甲基倍他环糊精的详细资料 | |
| 资料来源 | SDS 样本 |
| Alfa-Aesar www.alfa.com/en/content/msds/USA/J66847.pdf |
浏览或下载 |
| Sigma-Aldrich www.sigmaaldrich.com/catalog/Lookup.do?N5=All&N3=mode+matchpartialmax&N1=S_ID&ST=RS&N25=0&F=PR&D7=0&N4=128446-36-6 |
浏览或下载 |
| TCI www.spectrumchemical.com/MSDS/TCI-M1356.pdf |
浏览或下载 |
|
免责声明 本页所列之化学品安全技术说明书样本系 chemBlink 公司搜集的互联网公开信息,仅用于指导化学品安全技术说明书的编辑与制作。chemBlink 竭诚提供可靠信息,然而不承诺其完备与准确。 阅读全文... |
|