| 产品概述 | |
| |
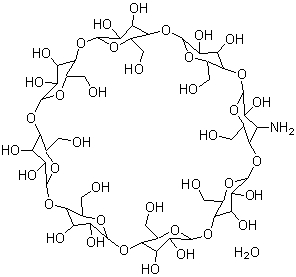
| 产品名称 | 3a-氨基-3a-脱氧-(2aS,3aS)-gamma-环糊精水合物 |
| CAS 登录号 | 189307-64-0 |
| 分子式 | C48H81NO39 |
| 分子量 | 1296.14 |
| 3a-氨基-3a-脱氧-(2aS,3aS)-gamma-环糊精水合物的详细资料 | |
| 资料来源 | SDS 样本 |
| TCI www.spectrumchemical.com/MSDS/TCI-A2123.pdf |
浏览或下载 |
|
免责声明 本页所列之化学品安全技术说明书样本系 chemBlink 公司搜集的互联网公开信息,仅用于指导化学品安全技术说明书的编辑与制作。chemBlink 竭诚提供可靠信息,然而不承诺其完备与准确。 阅读全文... |
|