| 产品概述 | |
| |
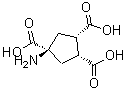
| 产品名称 | (1R,2S,4S)-4-氨基-1,2,4-环戊烷三羧酸 |
| CAS 登录号 | 194918-76-8 |
| 分子式 | C8H11NO6 |
| 分子量 | 217.18 |
| (1R,2S,4S)-4-氨基-1,2,4-环戊烷三羧酸的详细资料 | |
| 资料来源 | SDS 样本 |
| Cayman www.caymanchem.com/msdss/78010m.pdf |
浏览或下载 |
|
免责声明 本页所列之化学品安全技术说明书样本系 chemBlink 公司搜集的互联网公开信息,仅用于指导化学品安全技术说明书的编辑与制作。chemBlink 竭诚提供可靠信息,然而不承诺其完备与准确。 阅读全文... |
|