| 产品概述 | |
| |
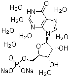
| 产品名称 | 5-肌苷一磷酸二钠盐八水合物 |
| CAS 登录号 | 20813-76-7 |
| 分子式 | C10H11N4Na2O8P.8(H2O) |
| 分子量 | 536.29 |
| 5-肌苷一磷酸二钠盐八水合物的详细资料 | |
| 资料来源 | SDS 样本 |
| Cayman www.caymanchem.com/msdss/18135m.pdf |
浏览或下载 |
|
免责声明 本页所列之化学品安全技术说明书样本系 chemBlink 公司搜集的互联网公开信息,仅用于指导化学品安全技术说明书的编辑与制作。chemBlink 竭诚提供可靠信息,然而不承诺其完备与准确。 阅读全文... |
|