全球化学品在线数据库

N-[(E,3R)-3-羟基-1-[(2S,3R,4S,5R,6R)-3,4,5-三羟基-6-(羟基甲基)四氢吡喃-2-基]氧基十八碳-4-烯-2-基]乙酰胺 化学品安全技术说明书 (CAS 35823-61-1)

本页面提供 N-[(E,3R)-3-羟基-1-[(2S,3R,4S,5R,6R)-3,4,5-三羟基-6-(羟基甲基)四氢吡喃-2-基]氧基十八碳-4-烯-2-基]乙酰胺 (CAS 35823-61-1) 的化学品安全技术说明书 (SDS),包括危险性、急救措施、储存与操作要求等信息。用户可免费下载 SDS 文件用于实验室或工业参考。

产品概述

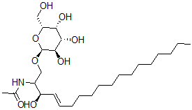
结构式 CAS# 35823-61-1, N-[(E,3R)-3-羟基-1-[(2S,3R,4S,5R,6R)-3,4,5-三羟基-6-(羟基甲基)四氢吡喃-2-基]氧基十八碳-4-烯-2-基]乙酰胺
产品名称 N-[(E,3R)-3-羟基-1-[(2S,3R,4S,5R,6R)-3,4,5-三羟基-6-(羟基甲基)四氢吡喃-2-基]氧基十八碳-4-烯-2-基]乙酰胺
CAS 登录号 35823-61-1
分子式 C26H49NO8
分子量 503.68
N-[(E,3R)-3-羟基-1-[(2S,3R,4S,5R,6R)-3,4,5-三羟基-6-(羟基甲基)四氢吡喃-2-基]氧基十八碳-4-烯-2-基]乙酰胺的详细资料
 
资料来源 SDS 样本
Cayman
www.caymanchem.com/msdss/24465m.pdf
浏览或下载

免责声明

本页所列之化学品安全技术说明书样本系 chemBlink 公司搜集的互联网公开信息,仅用于指导化学品安全技术说明书的编辑与制作。chemBlink 竭诚提供可靠信息,然而不承诺其完备与准确。 阅读全文...



常见问题 (FAQ)
什么是 SDS?   如何下载 SDS?   SDS 是否免费?   SDS 和 MSDS 有什么区别?



相关化学品安全技术说明书
三氟甲基三氟甲烷磺酸...   1,2,3,4,6,...   2,2-二乙氧基-N...   2-溴苯甲醛二乙缩醛   三氟甲磺酸酐   1,3-二环己基巴比...   隐丹参酮   4-异丙氧基苯甲酸甲...   1,5-二氯六甲基三...   2-溴-1,3,2-...